| ||||||||||||||||||||||||||||
Скачать ГОСТ Р 70664-2023 Дистанционное зондирование Земли из космоса. Данные дистанционного зондирования Земли из космоса. Общие требования к стереообработкеДата актуализации: 01.06.2025
| ||||||||||||||||||||||||||||
| Обозначение: | ![]() ГОСТ Р 70664-2023 |
| Статус: | действующий |
| Название рус.: | Дистанционное зондирование Земли из космоса. Данные дистанционного зондирования Земли из космоса. Общие требования к стереообработке |
| Название англ.: | Remote sensing of the Earth from space. Remote sensing data of the Earth from space. General requirements for stereo processing |
| Дата актуализации текста: | 01.01.2024 |
| Дата актуализации описания: | 01.01.2024 |
| Дата издания: | 24.07.2023 |
| Дата введения: | 01.01.2024 |
| Нормативные ссылки: | ГОСТ 22268; ГОСТ Р 51606; ГОСТ Р 51833; ГОСТ Р 59080; ГОСТ Р 59562-2021; ГОСТ Р 59753; ГОСТ Р 59754; ГОСТ Р 70154; ГОСТ Р 70662; ГОСТ Р 70670 |
| Область применения: | Настоящий стандарт устанавливает требования к проведению стереообработки данных дистанционного зондирования Земли из космоса, включая требования к исходным данным, аппаратно-программному обеспечению, порядку фотограмметрической обработки, оценке качества результатов стереообработки, и приводит типологию основных продуктов стереообработки. Настоящий стандарт предназначен для организаций и специалистов, осуществляющих обработку данных дистанционного зондирования Земли из космоса, оказывающих услуги с использованием данных дистанционного зондирования Земли из космоса |
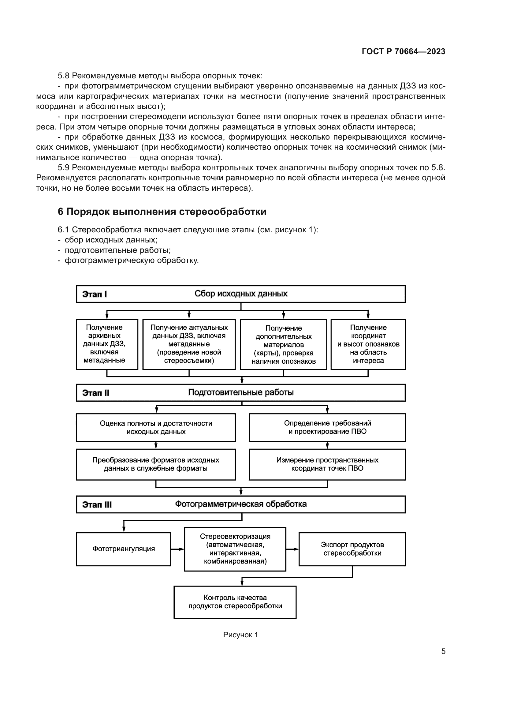
| Расположен в: | |



















