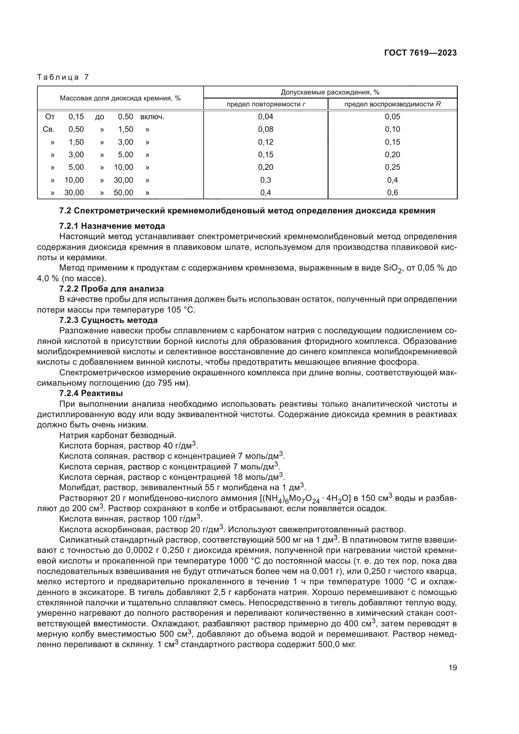
Информационная система
«Ёшкин Кот»

Скачать базу одним архивом
Скачать обновления
История создания базы
Карта сайта

Скачать ГОСТ 7619-2023 Шпат плавиковый. Методы физико-химического анализа

Дата актуализации: 01.06.2025

ГОСТ 7619-2023

Шпат плавиковый. Методы физико-химического анализа

Обозначение: ГОСТ 7619-2023
Статус:действующий
Название рус.:Шпат плавиковый. Методы физико-химического анализа
Название англ.:Fluorite. Methods of physicochemical analysis
Дата актуализации текста:01.01.2024
Дата актуализации описания:01.01.2024
Дата регистрации:31.05.2023
Дата издания:05.07.2023
Дата введения:01.11.2023
Взамен:ГОСТ 7619.0-81;ГОСТ 7619.1-74;ГОСТ 7619.2-81;ГОСТ 7619.3-81;ГОСТ 7619.4-81;ГОСТ 7619.5-81;ГОСТ 7619.6-81;ГОСТ 7619.7-81;ГОСТ 7619.8-81;ГОСТ 7619.9-81;ГОСТ 7619.10-75;ГОСТ 7619.11-77;ГОСТ 7619.12-77;ГОСТ 7619.13-91;ГОСТ 19724-74
Нормативные ссылки:ГОСТ 12.1.004;ГОСТ 12.1.005;ГОСТ 12.1.007;ГОСТ 61;ГОСТ 83;ГОСТ 195;ГОСТ 1277;ГОСТ 1381;ГОСТ 2821;ГОСТ 3118;ГОСТ 3158;ГОСТ 3306;ГОСТ 3760;ГОСТ 3765;ГОСТ 3776;ГОСТ 4160;ГОСТ 4165;ГОСТ 4198;ГОСТ 4199;ГОСТ 4204;ГОСТ 4208;ГОСТ 4212;ГОСТ 4221;ГОСТ 4232;ГОСТ 4234;ГОСТ 4328;ГОСТ 4332;ГОСТ 4461;ГОСТ 4463;ГОСТ 4478;ГОСТ 4530;ГОСТ 4919.1;ГОСТ 6344;ГОСТ 6563;ГОСТ 6613;ГОСТ 6616;ГОСТ 6709;ГОСТ 9147;ГОСТ 9656;ГОСТ 10163;ГОСТ Р 58144-2018;ГОСТ 10484;ГОСТ 10652;ГОСТ 10929;ГОСТ 11293;ГОСТ 14180-80;ГОСТ 19627;ГОСТ 20448;ГОСТ 20490;ГОСТ 22867;ГОСТ 25336;ГОСТ 25664;ГОСТ 27068;ГОСТ 29220
Область применения:Настоящий стандарт распространяется на шпат плавиковый и устанавливает общие требования к методам химического анализа и методу определения гранулометрического состава
Расположен в:Государственные стандарты Общероссийский классификатор стандартов Горное дело и полезные ископаемые Нерудные минералы
ГОСТ 7619-2023ГОСТ 7619-2023ГОСТ 7619-2023ГОСТ 7619-2023ГОСТ 7619-2023ГОСТ 7619-2023ГОСТ 7619-2023ГОСТ 7619-2023ГОСТ 7619-2023ГОСТ 7619-2023ГОСТ 7619-2023ГОСТ 7619-2023ГОСТ 7619-2023ГОСТ 7619-2023ГОСТ 7619-2023ГОСТ 7619-2023ГОСТ 7619-2023ГОСТ 7619-2023ГОСТ 7619-2023ГОСТ 7619-2023ГОСТ 7619-2023ГОСТ 7619-2023ГОСТ 7619-2023ГОСТ 7619-2023ГОСТ 7619-2023ГОСТ 7619-2023ГОСТ 7619-2023ГОСТ 7619-2023ГОСТ 7619-2023ГОСТ 7619-2023ГОСТ 7619-2023ГОСТ 7619-2023ГОСТ 7619-2023ГОСТ 7619-2023ГОСТ 7619-2023ГОСТ 7619-2023ГОСТ 7619-2023ГОСТ 7619-2023ГОСТ 7619-2023ГОСТ 7619-2023ГОСТ 7619-2023ГОСТ 7619-2023ГОСТ 7619-2023ГОСТ 7619-2023ГОСТ 7619-2023ГОСТ 7619-2023ГОСТ 7619-2023ГОСТ 7619-2023ГОСТ 7619-2023ГОСТ 7619-2023ГОСТ 7619-2023ГОСТ 7619-2023ГОСТ 7619-2023ГОСТ 7619-2023

© 2013 Ёшкин Кот :-) Карта сайта