| Обозначение: |  ГОСТ Р 50779.75-99 |
| Статус: | заменён |
| Название рус.: | Статистические методы. Последовательные планы выборочного контроля по альтернативному признаку |
| Название англ.: | Statistical methods. Sequential sampling plans for inspection by attributes |
| Дата актуализации текста: | 06.04.2015 |
| Дата актуализации описания: | 01.07.2023 |
| Дата издания: | 01.11.2002 |
| Дата введения: | 01.07.2000 |
| Дата окончания срока действия: | 01.12.2012 |
| Заменяющий: | ГОСТ Р ИСО 8422-2011 |
| Содержит требования: | ISO 8422:1991 |
| Нормативные ссылки: | ГОСТ Р 50779.10-2000; ГОСТ Р 50779.11-2000; ГОСТ Р 50779.30-95; ГОСТ Р 50779.71-99 |
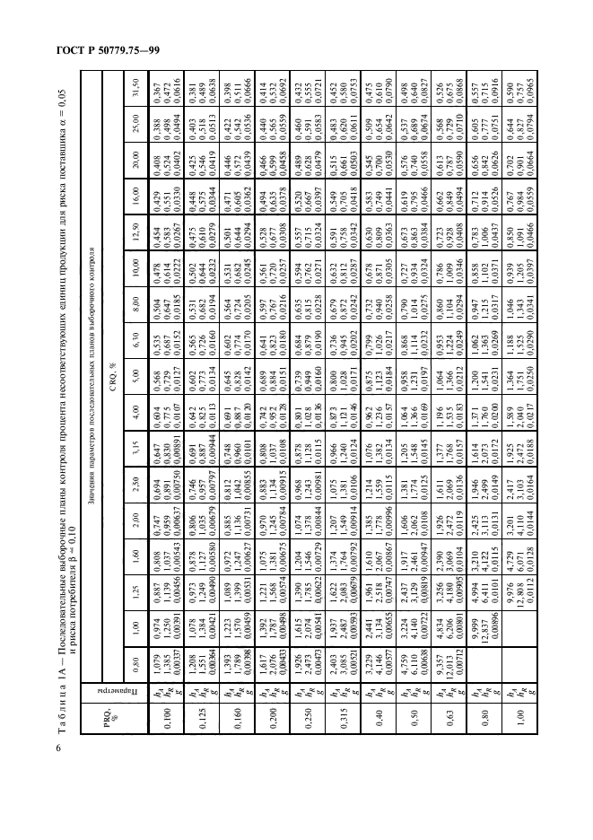
| Область применения: | Настоящий стандарт устанавливает последовательные планы и процедуры выборочного контроля по альтернативному признаку партий штучной продукции |
|
| Расположен в: |
|