| Обозначение: |  ГОСТ Р 51528-99 |
| Статус: | отменён |
| Название рус.: | Системы ингаляционного наркоза. Часть 2. Анестезиологические циркуляционные дыхательные контуры |
| Название англ.: | Inhalation anaesthesia systems. Part 2. Anaesthetic circle breathing systems |
| Дата актуализации текста: | 06.04.2015 |
| Дата актуализации описания: | 01.07.2023 |
| Дата издания: | 15.12.2000 |
| Дата введения: | 01.01.2001 |
| Дата окончания срока действия: | 01.01.2015 |
| Код ОКП: | 944460 |
| Содержит требования: | ISO 8835-2:1993 |
| На территории РФ пользоваться: | ГОСТ 31510.2-2012 |
| Нормативные ссылки: | ISO 2878:1987;ISO 2882:1979;ISO 4135:1995; ГОСТ 24264-93; ГОСТ Р 50327.2-92 |
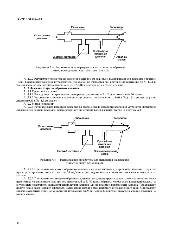
| Область применения: | Настоящий стандарт устанавливает требования к системам ингаляционного наркоза циркуляционно-адсорбционных дыхательных систем, которые поставляются изготовителем либо в собранном виде, либо должны быть собраны заказчиком в соответствии с инструкциями изготовителя, а также к дополнительным дыхательным приспособлениям, в частности, адсорберам двуокиси углерода, обратным клапанам и регулируемым клапанам ограничения давления. Настоящий стандарт не распространяется на анестезиологические вентиляторы и на эксплуатационные характеристики дыхательных контуров в отношении устранения выдыхаемой двуокиси углерода, поскольку это сложный процесс, который зависит от взаимодействия пациента, потока свежего газа и собственно дыхательного контура. Однако настоящий стандарт включает требования к дыхательным контурам и сопутствующему оборудованию, предназначенному для использования в стоматологических анестезиологических машинах |
| Список изменений: | №0 от 01.01.2015 (рег. 01.11.2012) «Текстовое изменение; Изменено заглавие» |
|
| Расположен в: |
|