Информационная система
«Ёшкин Кот»

Скачать базу одним архивом
Скачать обновления
История создания базы
Карта сайта

Скачать ГОСТ Р 51557-99 Игрушки электрические. Требования безопасности

Дата актуализации: 01.06.2025

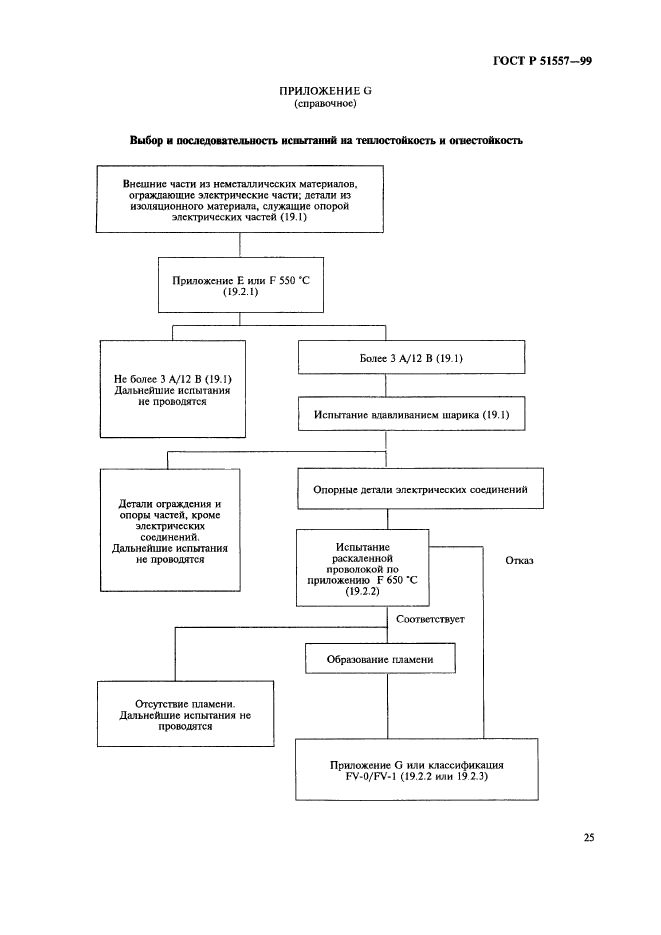
ГОСТ Р 51557-99

Игрушки электрические. Требования безопасности

Обозначение: ГОСТ Р 51557-99
Статус:действующий
Название рус.:Игрушки электрические. Требования безопасности
Название англ.:Electric toys. Requirements of safety
Дата актуализации текста:06.04.2015
Дата актуализации описания:01.07.2023
Дата издания:19.10.2000
Дата введения:01.01.2003
Код ОКП:963950
Аутентичен стандартам:EN 50088-96
Нормативные ссылки:IEC 61558-2-7(1997);ГОСТ 12.2.006-87;ГОСТ 14254-96;ГОСТ 25516-82;ГОСТ 30030-93;ГОСТ 7396.1-89;ГОСТ Р МЭК 335-1-94;ГОСТ Р МЭК 384-14-93;ГОСТ Р МЭК 730-1-94;ГОСТ Р МЭК 730-2-1-94;ГОСТ Р МЭК 730-2-7-94;ГОСТ Р МЭК 730-2-9-94;ГОСТ Р МЭК 730-2-9-94;ГОСТ Р ИСО 8124-1-99;ГОСТ Р ИСО 8124-3-99;ГОСТ Р 51325.1-99;EN 71
Область применения:Настоящий стандарт распространяется на электрические игрушки с номинальным напряжением питания до 24 В и устанавливает требования их безопасности. Он распространяется также на электрические конструкторские наборы, электрические функциональные игрушки и экспериментальные наборы. Стандарт не распространяется на: переносные привлекательные для детей светильники; рождественские украшения; масштабные модели для коллекции взрослых; оборудование, предназначенное для коллективного использования на площадках для игры; спортивный инвентарь; водное снаряжение, предназначенное для использования на глубине; куклы народного творчества и декоративные куклы или другие подобные художественные изделия для коллекции взрослых; профессиональные игрушки, установленные в публичных местах (торговых центрах, на станциях и т.п.); фейерверки, содержащие ударные капсюли; наборы дротиков с металлическим острием; печи, утюги или другие функциональные изделия, питаемые напряжением, превышающим 24 В; изделия, содержащие нагревательные элементы, предназначенные для использования под присмотром взрослых в учебных целях; транспортные средства с двигателями внутреннего сгорания; игрушки с паровыми двигателями; велосипеды, сконструированные для спорта или для путешествия по общественным автомобильным дорогам; видеоигрушки, которые могут быть подключены к видеоэкрану и которые питаются от напряжения, превышающего 24 В; точные копии реального стрелкового оружия; модные ювелирные украшения для детей
Расположен в:Государственные стандарты Общероссийский классификатор стандартов Бытовая техника и торговое оборудование. Отдых. Спорт Оборудование для отдыха Игрушки Классификатор государственных стандартов Изделия культурно-бытового назначения Общие правила и нормы по культурно-бытовому обслуживанию Техника безопасности Оборудование, инвентарь и принадлежности театрально-зрелищных предприя Игрушки, игры Окп Изделия культурно-бытового, хозяйственного, учебного назначения, театрально-зрелищных предприятий, вспомогательные для легкой промышленности Игрушки и украшения елочные Игрушки прочие Игрушки музыкальные / Технические регламенты Таможенного союза О безопасности игрушек Перечень стандартов, в результате применения которых на добровольной основе обеспечивается соблюдение требований технического регламента Таможенного союза «О безопасности игрушек» Перечень стандартов, содержащих правила и методы исследований и измерений, в том числе правила отбора образцов, необходимых для применения и исполнения требований технического регламента Таможенного союза «О безопасности игрушек» и осуществления оценки...
ГОСТ Р 51557-99ГОСТ Р 51557-99ГОСТ Р 51557-99ГОСТ Р 51557-99ГОСТ Р 51557-99ГОСТ Р 51557-99ГОСТ Р 51557-99ГОСТ Р 51557-99ГОСТ Р 51557-99ГОСТ Р 51557-99ГОСТ Р 51557-99ГОСТ Р 51557-99ГОСТ Р 51557-99ГОСТ Р 51557-99ГОСТ Р 51557-99ГОСТ Р 51557-99ГОСТ Р 51557-99ГОСТ Р 51557-99ГОСТ Р 51557-99ГОСТ Р 51557-99ГОСТ Р 51557-99ГОСТ Р 51557-99ГОСТ Р 51557-99ГОСТ Р 51557-99ГОСТ Р 51557-99ГОСТ Р 51557-99ГОСТ Р 51557-99ГОСТ Р 51557-99ГОСТ Р 51557-99ГОСТ Р 51557-99ГОСТ Р 51557-99ГОСТ Р 51557-99

© 2013 Ёшкин Кот :-) Карта сайта