| ||||||||||||||||||||||||||||||||||||||||||||
Скачать ГОСТ 10362-76 Рукава резиновые напорные с нитяным усилением, неармированные. Технические условияДата актуализации: 01.06.2025
| ||||||||||||||||||||||||||||||||||||||||||||
| Обозначение: | ![]() ГОСТ 10362-76 |
| Статус: | заменён |
| Название рус.: | Рукава резиновые напорные с нитяным усилением, неармированные. Технические условия |
| Название англ.: | Pressure hoses of vulcanized rubber with thread reinforcement and without end fitting. Specifications |
| Дата актуализации текста: | 06.04.2015 |
| Дата актуализации описания: | 01.07.2023 |
| Дата издания: | 01.10.2003 |
| Дата введения: | 01.01.1978 |
| Дата окончания срока действия: | 01.07.2018 |
| Код ОКП: | 255420 |
| Взамен: | ГОСТ 10362-63 |
| Заменяющий: | ГОСТ 10362-2017 |
| Нормативные ссылки: | ISO 1307:1983; ГОСТ 2.124-85; ГОСТ 9.024-74; ГОСТ 9.026-74; ГОСТ 9.030-74; ГОСТ 166-89; ГОСТ 263-75; ГОСТ 269-66; ГОСТ 270-75; ГОСТ 305-82; ГОСТ 427-75; ГОСТ 1012-72; ГОСТ 1033-79; ГОСТ 2084-77; ГОСТ 2405-88; ГОСТ 2930-62; ГОСТ 2991-85; ГОСТ 5378-88; ГОСТ 6768-75; ГОСТ 7502-98; ГОСТ 10227-86; ГОСТ 14192-96; ГОСТ 15150-69; ГОСТ 15152-69; ГОСТ 15846-2002; ГОСТ 28084-89 |
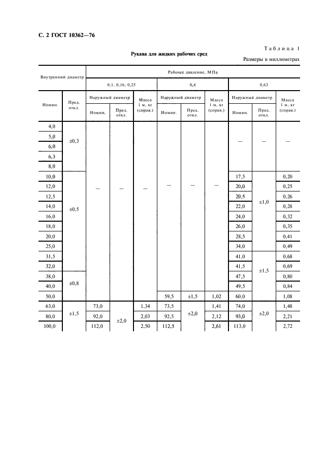
| Область применения: | Настоящий стандарт распространяется на напорные резиновые рукава неармированные с нитяным усилением, применяемые в качестве гибких трубопроводов для подачи под давлением воздуха, инертных газов и жидкостей, работоспособные в районах с умеренным и тропическим климатом при температуре от минус 50 до плюс 90 град. С, в районах с холодным климатом при температуре от минус 60 до плюс 90 град. С. Настоящий стандарт не распространяется на рукава для газовой сварки и резки металлов, силовой гидравлической системы зерноуборочных комбайнов, пищевой промышленности и водолазной техники |
| Список изменений: | №0 от 01.11.1993 (рег. 01.11.1993) «Дата введения перенесена» №0 от 01.09.1998 (рег. 01.09.1998) «Дата введения перенесена» №1 от 01.07.1981 (рег. 27.02.1981) «Срок действия продлен» №2 от 01.03.1985 (рег. 28.03.1984) «Срок действия продлен» №3 от 01.09.1987 (рег. 26.04.1987) «Срок действия продлен» №4 от 01.07.1988 (рег. 28.09.1987) «Срок действия продлен» №5 от 01.01.1989 (рег. 23.06.1988) «Срок действия продлен» №6 от 01.07.1990 (рег. 22.12.1989) «Срок действия продлен» №7 от 01.07.2001 (рег. 15.12.2000) «Срок действия продлен» |
| Приложение №1: | Изменение №7 к ГОСТ 10362-76 |
| Расположен в: | |



















| Обозначение: | Изменение №7 к ГОСТ 10362-76 |
| Дата введения: | 01.07.2001 |

