| Обозначение: |  ГОСТ Р 58651.10-2023 |
| Статус: | действующий |
| Название рус.: | Единая энергетическая система и изолированно работающие энергосистемы. Информационная модель электроэнергетики. Профиль информационной модели устройств релейной защиты и автоматики |
| Название англ.: | United power system and isolated power systems. Information model of power industry. Information model profile of relay protection and automation devices |
| Дата актуализации текста: | 01.07.2023 |
| Дата актуализации описания: | 01.07.2023 |
| Дата издания: | 06.03.2023 |
| Дата введения: | 01.04.2023 |
| Нормативные ссылки: | ГОСТ Р 58651.1; ГОСТ Р 58651.2; ГОСТ Р 59909 |
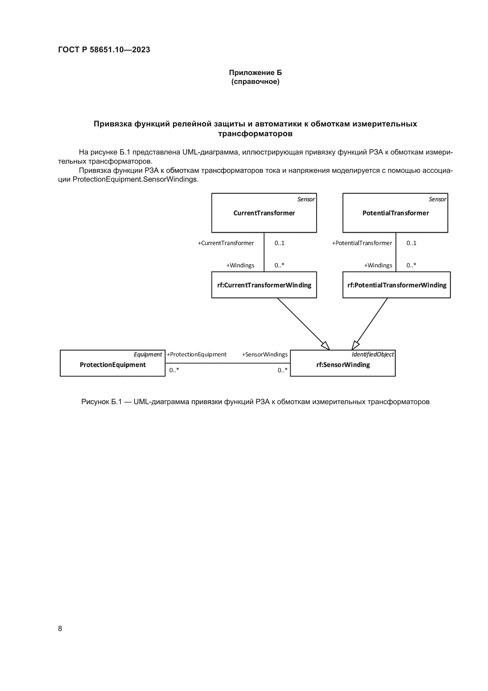
| Область применения: | Настоящий стандарт устанавливает базовый состав профиля информационной модели устройств релейной защиты и автоматики для обеспечения однозначной интерпретации передаваемых и получаемых данных всеми участниками информационного обмена в электроэнергетической отрасли |
|
| Расположен в: |
|