Информационная система
«Ёшкин Кот»

Скачать базу одним архивом
Скачать обновления
История создания базы
Карта сайта

Скачать ГОСТ Р 58092.3.2-2023 Системы накопления электрической энергии. Проектирование и оценка рабочих параметров. Применения с преимущественным использованием мощности и интеграция с возобновляемыми источниками энергии

Дата актуализации: 01.06.2025

ГОСТ Р 58092.3.2-2023

Системы накопления электрической энергии. Проектирование и оценка рабочих параметров. Применения с преимущественным использованием мощности и интеграция с возобновляемыми источниками энергии

Обозначение: ГОСТ Р 58092.3.2-2023
Статус:действующий
Название рус.:Системы накопления электрической энергии. Проектирование и оценка рабочих параметров. Применения с преимущественным использованием мощности и интеграция с возобновляемыми источниками энергии
Название англ.:Electric energy storage systems. Planning and performance assessment. Power intensive applications and renewable energy sources integration
Дата актуализации текста:01.07.2023
Дата актуализации описания:01.07.2023
Дата издания:08.02.2023
Дата введения:01.07.2023
Нормативные ссылки:ГОСТ 15150;ГОСТ 30804.4.11-2013;ГОСТ 32144;ГОСТ Р 54325;ГОСТ Р 55608;ГОСТ Р 55890-2013;ГОСТ Р 57114-2016;ГОСТ Р 58092.1-2021;ГОСТ Р 58092.2.2;ГОСТ Р 58092.3.1;ГОСТ Р 58092.3.3;ГОСТ Р 58092.5.1;ГОСТ Р 58651.1;ГОСТ Р 58651.2;ГОСТ Р 58651.3;ГОСТ Р 58651.4;ГОСТ Р 59947;ГОСТ Р 59948;ГОСТ Р 59949;ГОСТ Р ИСО 5660-1;ГОСТ Р МЭК 61850-3;ГОСТ Р МЭК 61850-5;ГОСТ Р МЭК 61850-6;ГОСТ Р МЭК 61850-7-1;ГОСТ Р МЭК 61850-7-2;ГОСТ Р МЭК 61850-7-3;ГОСТ Р МЭК 61850-7-4
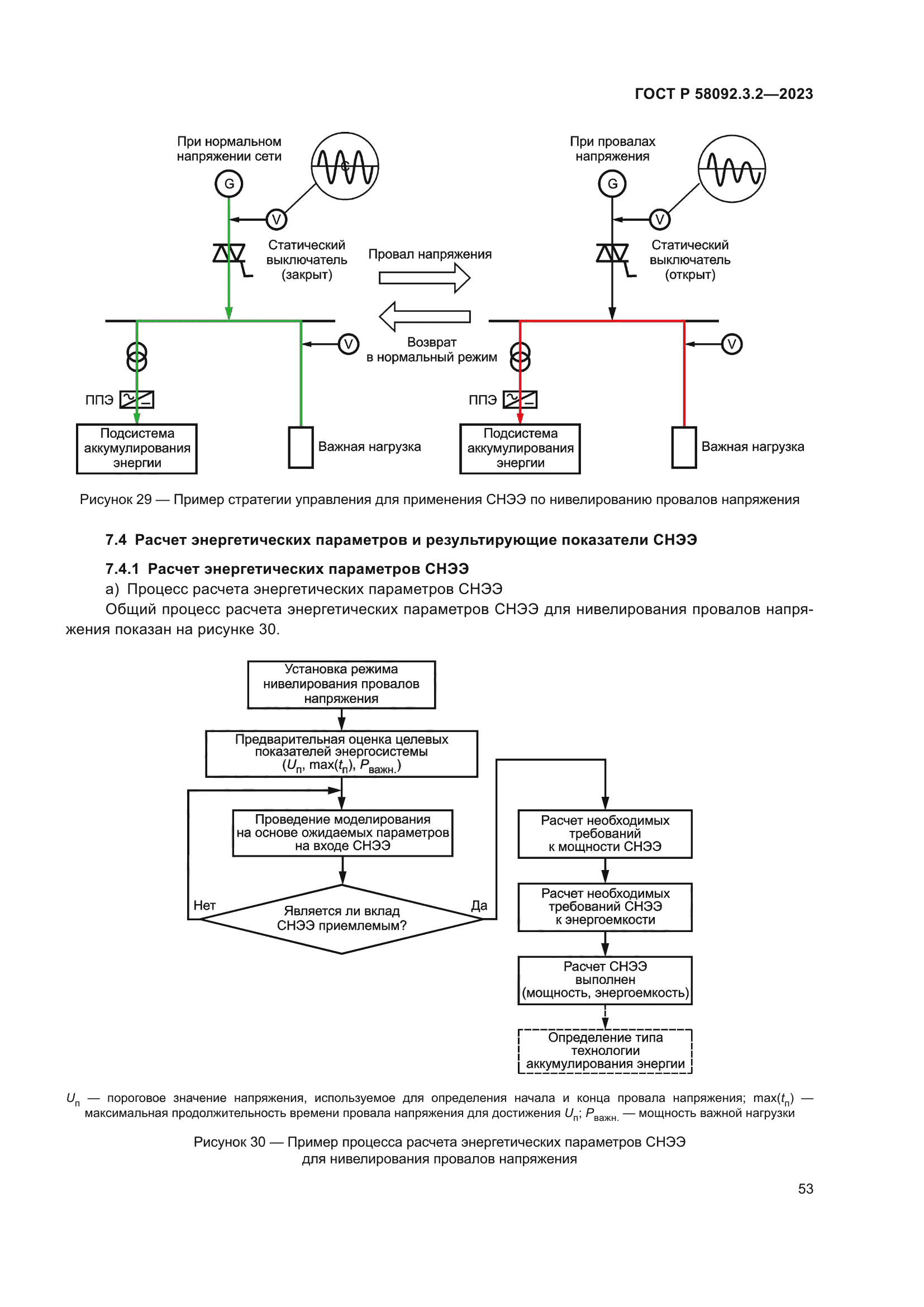
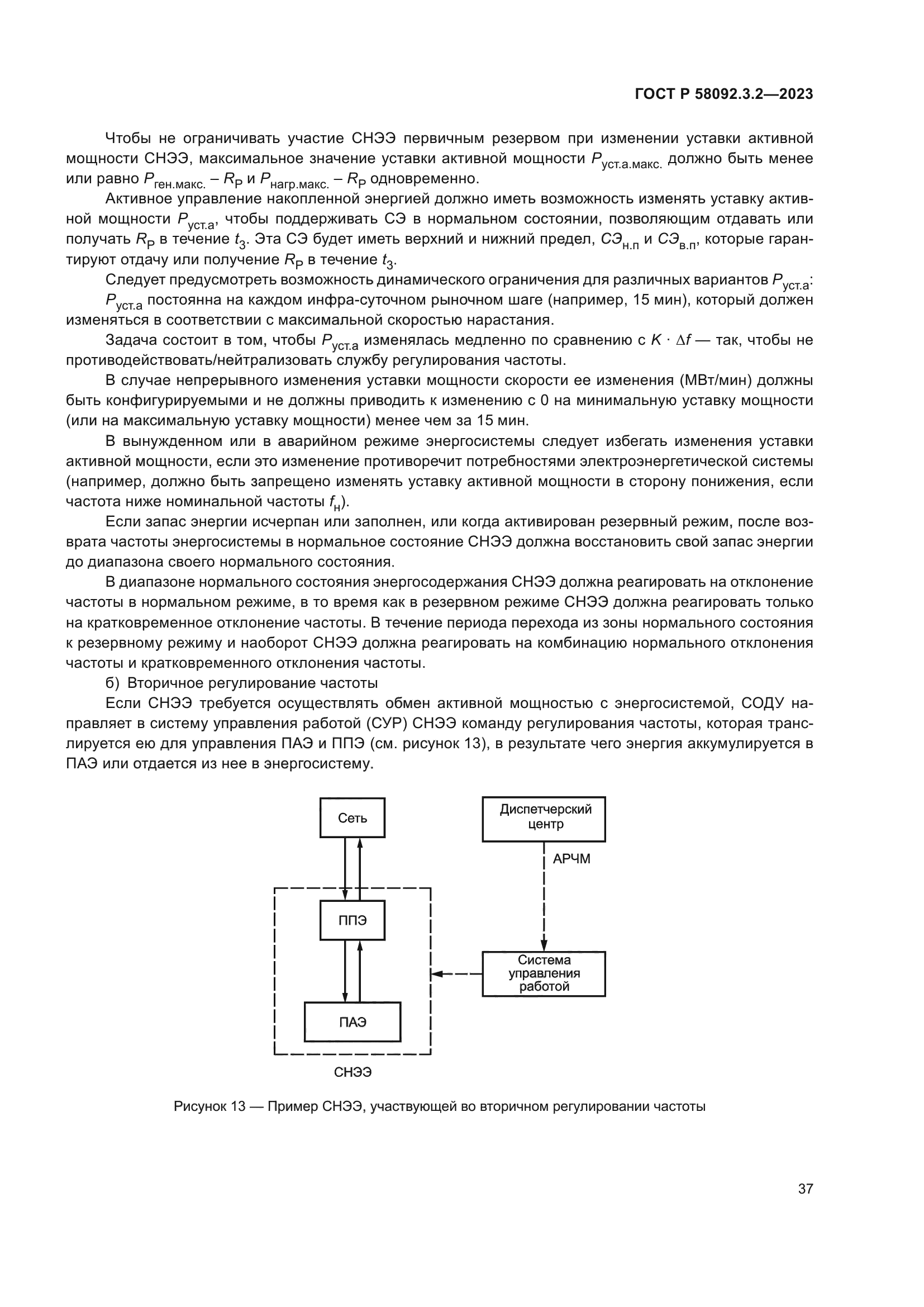
Область применения:Настоящий стандарт распространяется на системы накопления электрической энергии (СНЭЭ), связанные с применениями, требующими преимущественного использования мощности, т. е. скорости обмена аккумулируемой в них энергии, в частности при интеграции с возобновляемыми источниками энергии (ВИЭ). СНЭЭ в таких применениях, как правило, используют для улучшения динамической устойчивости энергосистемы или локальной обособленной электросети (ОЭС) путем разряда/заряда СНЭЭ на основе соответствующих стратегий управления. Совместная работа СНЭЭ и ВИЭ позволяет нивелировать стохастический характер генерации ВИЭ и/или обеспечить стабильность энергоснабжения длительное время. Настоящий стандарт устанавливает перечень параметров для установления требований к рабочим характеристикам СНЭЭ, расчету и оценке их энергетических характеристик и проектированию, эксплуатации и управлению, мониторингу и техническому обслуживанию. Функции СНЭЭ, характерные для указанных типов применений, включают: - регулирование частоты в энергосистеме; - регулирование напряжения энергосистемы/электрической сети (Q(U)); - нивелирование провалов напряжения; - демпфирование колебаний мощности (ДКМ). Требования к СНЭЭ как к оборудованию объектов электроэнергетики и энергопринимающих установок устанавливаются в соответствии с [1], [2], иными федеральными законами и нормативными правовыми актами Российской Федерации нормативно-правовыми актами Минэнерго России и национальными стандартами, распространяющимися на объекты электроэнергетики. Применение СНЭЭ, не являющимися объектами диспетчеризации регламентируется [3]. Особенности оперативно-диспетчерского (дистанционного) управления ВИЭ без СНЭЭ регламентируются ГОСТ Р 59949
Расположен в:Государственные стандарты Общероссийский классификатор стандартов Электротехника Гальванические элементы и батареи
ГОСТ Р 58092.3.2-2023ГОСТ Р 58092.3.2-2023ГОСТ Р 58092.3.2-2023ГОСТ Р 58092.3.2-2023ГОСТ Р 58092.3.2-2023ГОСТ Р 58092.3.2-2023ГОСТ Р 58092.3.2-2023ГОСТ Р 58092.3.2-2023ГОСТ Р 58092.3.2-2023ГОСТ Р 58092.3.2-2023ГОСТ Р 58092.3.2-2023ГОСТ Р 58092.3.2-2023ГОСТ Р 58092.3.2-2023ГОСТ Р 58092.3.2-2023ГОСТ Р 58092.3.2-2023ГОСТ Р 58092.3.2-2023ГОСТ Р 58092.3.2-2023ГОСТ Р 58092.3.2-2023ГОСТ Р 58092.3.2-2023ГОСТ Р 58092.3.2-2023ГОСТ Р 58092.3.2-2023ГОСТ Р 58092.3.2-2023ГОСТ Р 58092.3.2-2023ГОСТ Р 58092.3.2-2023ГОСТ Р 58092.3.2-2023ГОСТ Р 58092.3.2-2023ГОСТ Р 58092.3.2-2023ГОСТ Р 58092.3.2-2023ГОСТ Р 58092.3.2-2023ГОСТ Р 58092.3.2-2023ГОСТ Р 58092.3.2-2023ГОСТ Р 58092.3.2-2023ГОСТ Р 58092.3.2-2023ГОСТ Р 58092.3.2-2023ГОСТ Р 58092.3.2-2023ГОСТ Р 58092.3.2-2023ГОСТ Р 58092.3.2-2023ГОСТ Р 58092.3.2-2023ГОСТ Р 58092.3.2-2023ГОСТ Р 58092.3.2-2023ГОСТ Р 58092.3.2-2023ГОСТ Р 58092.3.2-2023ГОСТ Р 58092.3.2-2023ГОСТ Р 58092.3.2-2023ГОСТ Р 58092.3.2-2023ГОСТ Р 58092.3.2-2023ГОСТ Р 58092.3.2-2023ГОСТ Р 58092.3.2-2023ГОСТ Р 58092.3.2-2023ГОСТ Р 58092.3.2-2023ГОСТ Р 58092.3.2-2023ГОСТ Р 58092.3.2-2023ГОСТ Р 58092.3.2-2023ГОСТ Р 58092.3.2-2023ГОСТ Р 58092.3.2-2023ГОСТ Р 58092.3.2-2023ГОСТ Р 58092.3.2-2023ГОСТ Р 58092.3.2-2023ГОСТ Р 58092.3.2-2023ГОСТ Р 58092.3.2-2023ГОСТ Р 58092.3.2-2023ГОСТ Р 58092.3.2-2023ГОСТ Р 58092.3.2-2023ГОСТ Р 58092.3.2-2023ГОСТ Р 58092.3.2-2023ГОСТ Р 58092.3.2-2023ГОСТ Р 58092.3.2-2023ГОСТ Р 58092.3.2-2023ГОСТ Р 58092.3.2-2023ГОСТ Р 58092.3.2-2023ГОСТ Р 58092.3.2-2023ГОСТ Р 58092.3.2-2023ГОСТ Р 58092.3.2-2023ГОСТ Р 58092.3.2-2023ГОСТ Р 58092.3.2-2023ГОСТ Р 58092.3.2-2023ГОСТ Р 58092.3.2-2023ГОСТ Р 58092.3.2-2023ГОСТ Р 58092.3.2-2023ГОСТ Р 58092.3.2-2023ГОСТ Р 58092.3.2-2023ГОСТ Р 58092.3.2-2023ГОСТ Р 58092.3.2-2023ГОСТ Р 58092.3.2-2023ГОСТ Р 58092.3.2-2023ГОСТ Р 58092.3.2-2023

© 2013 Ёшкин Кот :-) Карта сайта