| Обозначение: |  ГОСТ Р 58092.3.3-2023 |
| Статус: | действующий |
| Название рус.: | Системы накопления электрической энергии. Проектирование и оценка рабочих параметров. Применения с преимущественным использованием энергии и резервного энергоснабжения |
| Название англ.: | Electric energy storage systems. Planning and performance assessment. Energy intensive and backup power applications |
| Дата актуализации текста: | 01.07.2023 |
| Дата актуализации описания: | 01.07.2023 |
| Дата издания: | 08.02.2023 |
| Дата введения: | 01.07.2023 |
| Нормативные ссылки: | ГОСТ Р 55608; ГОСТ Р 57114; ГОСТ Р 58092.1; ГОСТ Р 58092.2.1; ГОСТ Р 58092.2.2; ГОСТ Р 58092.3.1; ГОСТ Р 58092.3.2-2023; ГОСТ Р 58651.1; ГОСТ Р 58651.2; ГОСТ Р 58651.3; ГОСТ Р 58651.4 |
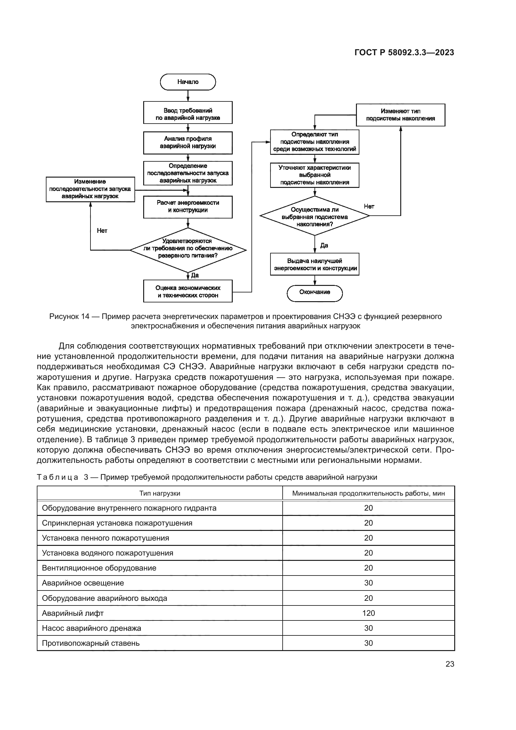
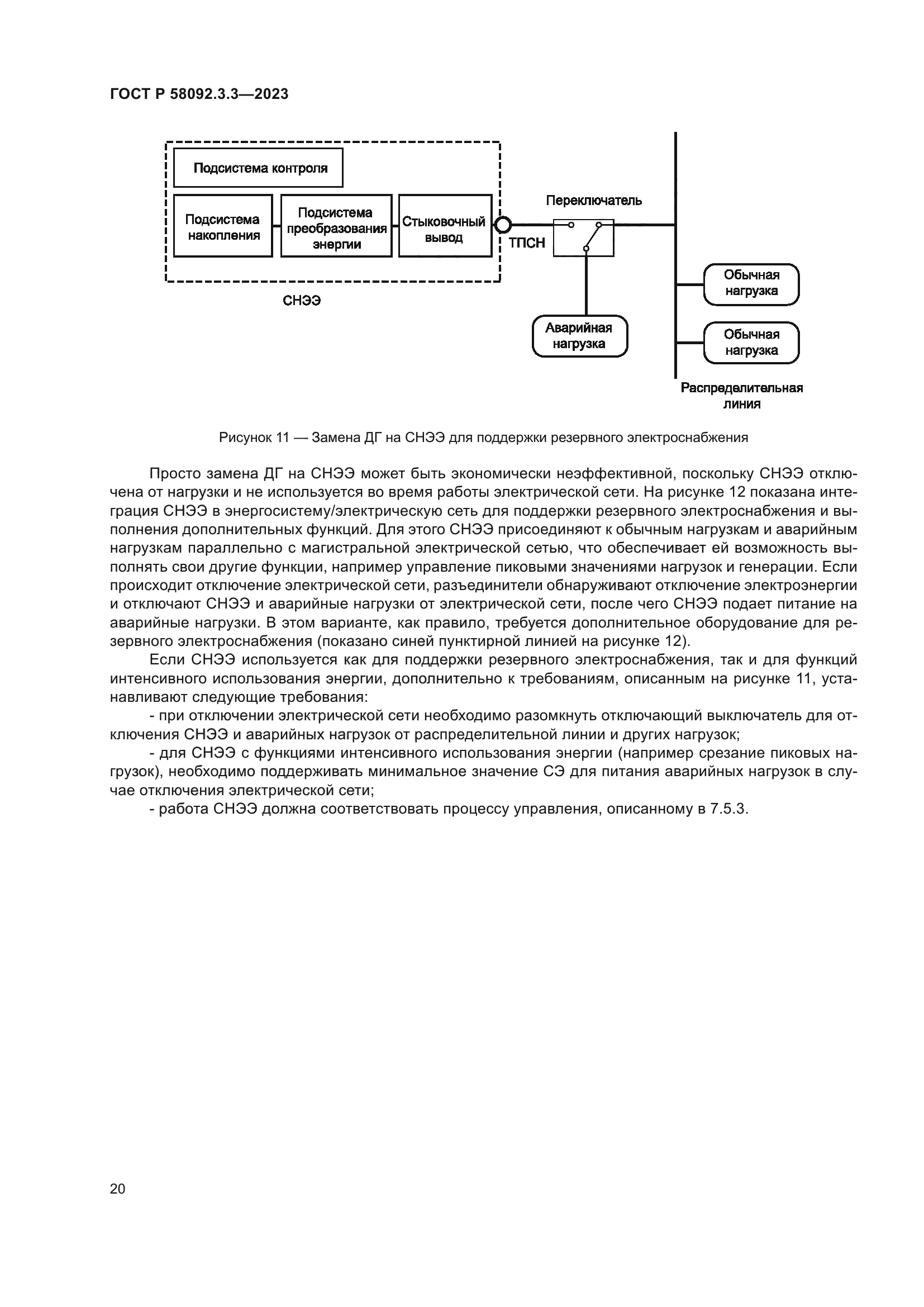
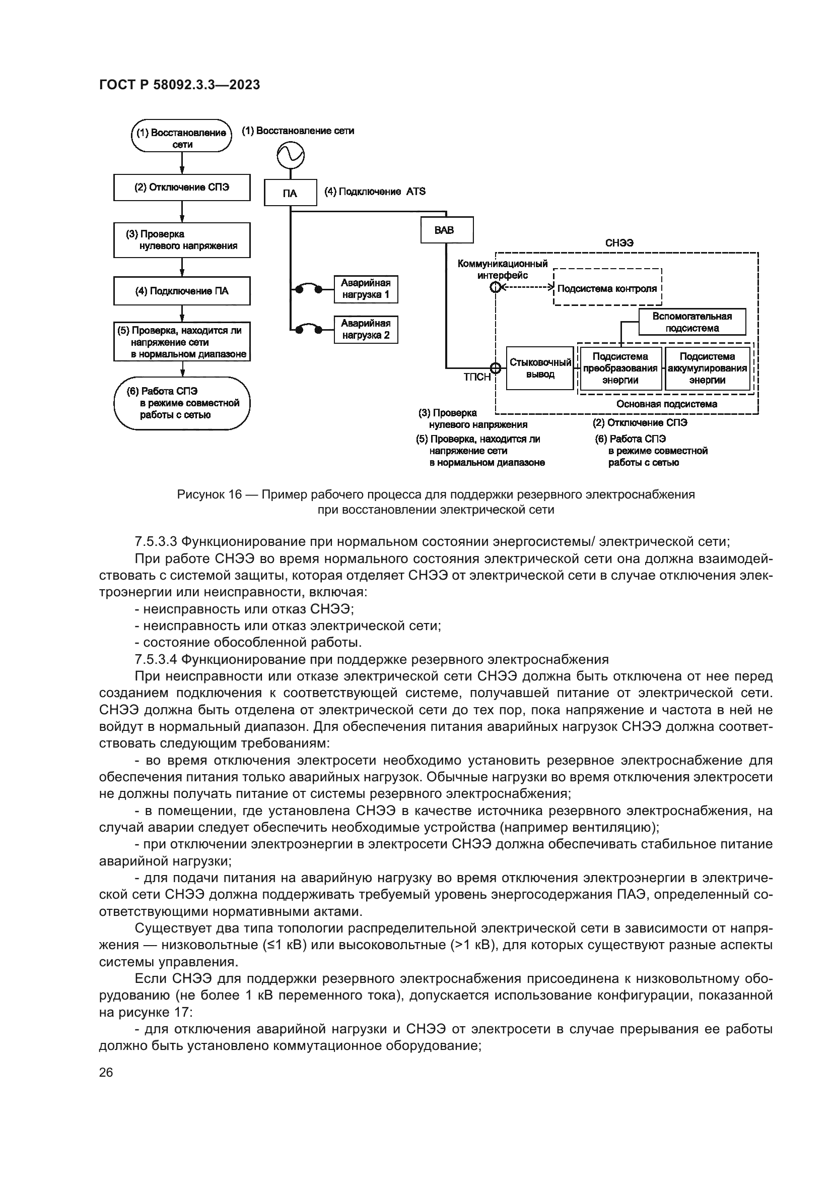
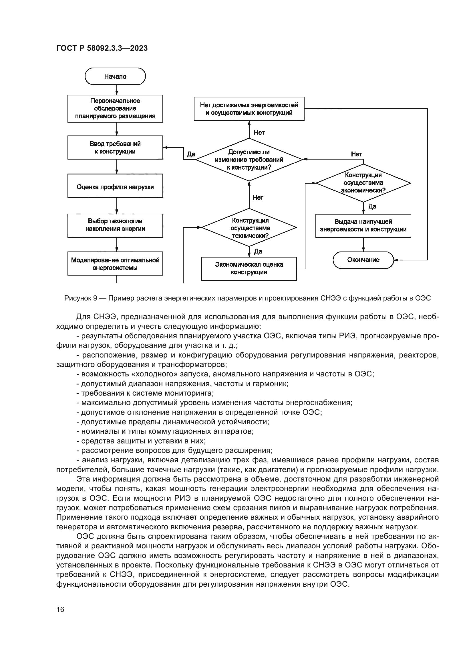
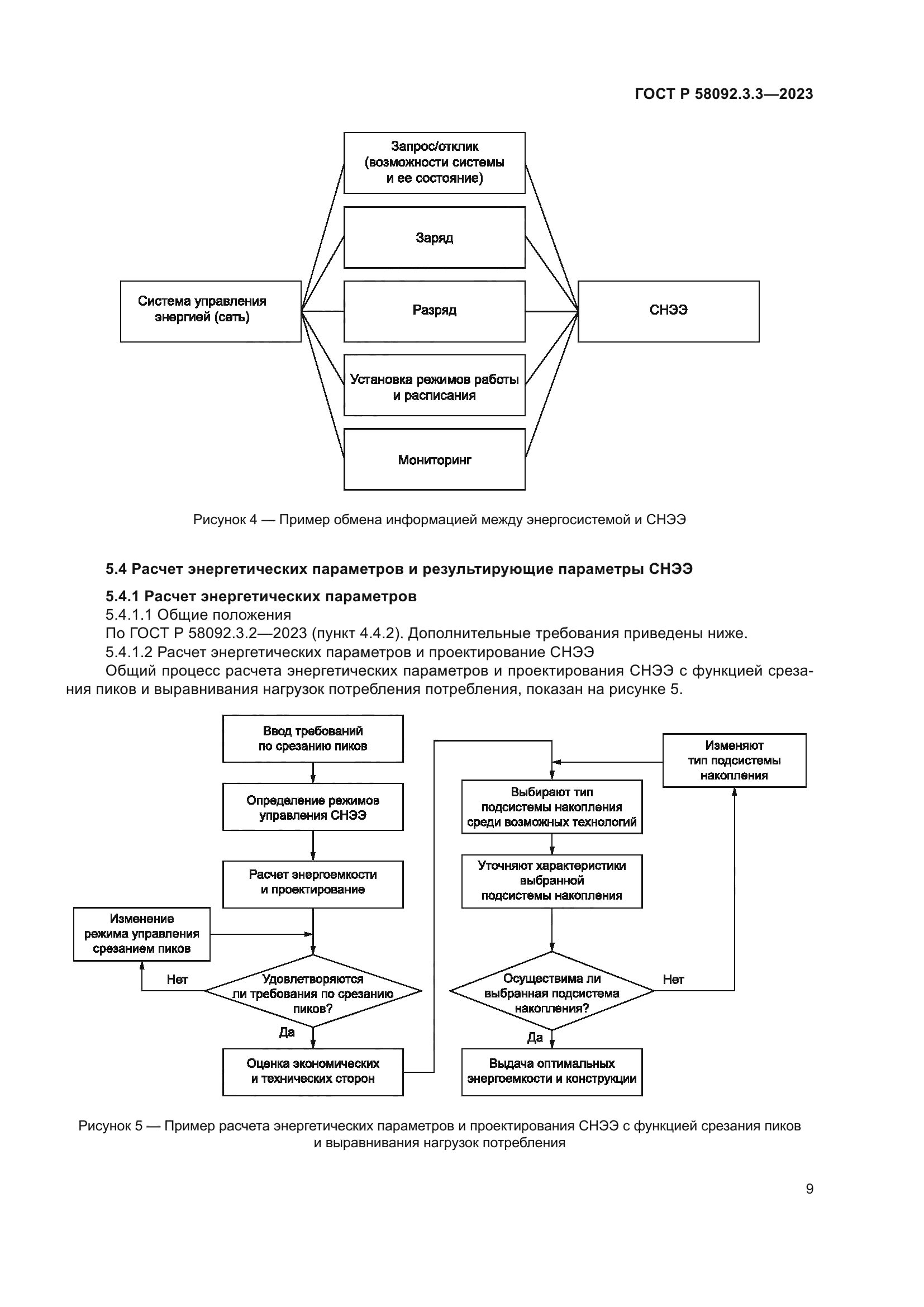
| Область применения: | Настоящий стандарт распространяется на системы накопления электрической энергии (СНЭЭ), связанные с применениями, требующими преимущественного использования аккумулированной в них энергии без особых требований к скорости ее обмена с энергосистемой (мощности): - выравнивание нагрузок потребления и генерации мощности; - работа в обособленных электрических сетях (ОЭС); - резервное электроснабжение и обеспечение питания аварийных нагрузок |
|
| Расположен в: |
|