| Обозначение: |  ГОСТ 8328-2022 |
| Статус: | действующий |
| Название рус.: | Подшипники качения. Подшипники цилиндрические однорядные. Классификация, указания по применению и эксплуатации |
| Название англ.: | Rolling bearings. Single-row cylindrical bearings. Classification, guidance for application and exploitation |
| Дата актуализации текста: | 01.01.2024 |
| Дата актуализации описания: | 01.07.2023 |
| Дата регистрации: | 26.12.2022 |
| Дата издания: | 02.02.2023 |
| Дата введения: | 01.04.2023 |
| Взамен: | ГОСТ 8328-75 |
| Нормативные ссылки: | ГОСТ 520; ГОСТ 2893; ГОСТ 3189; ГОСТ 3325; ГОСТ 3478; ГОСТ 24955; ГОСТ 25256 |
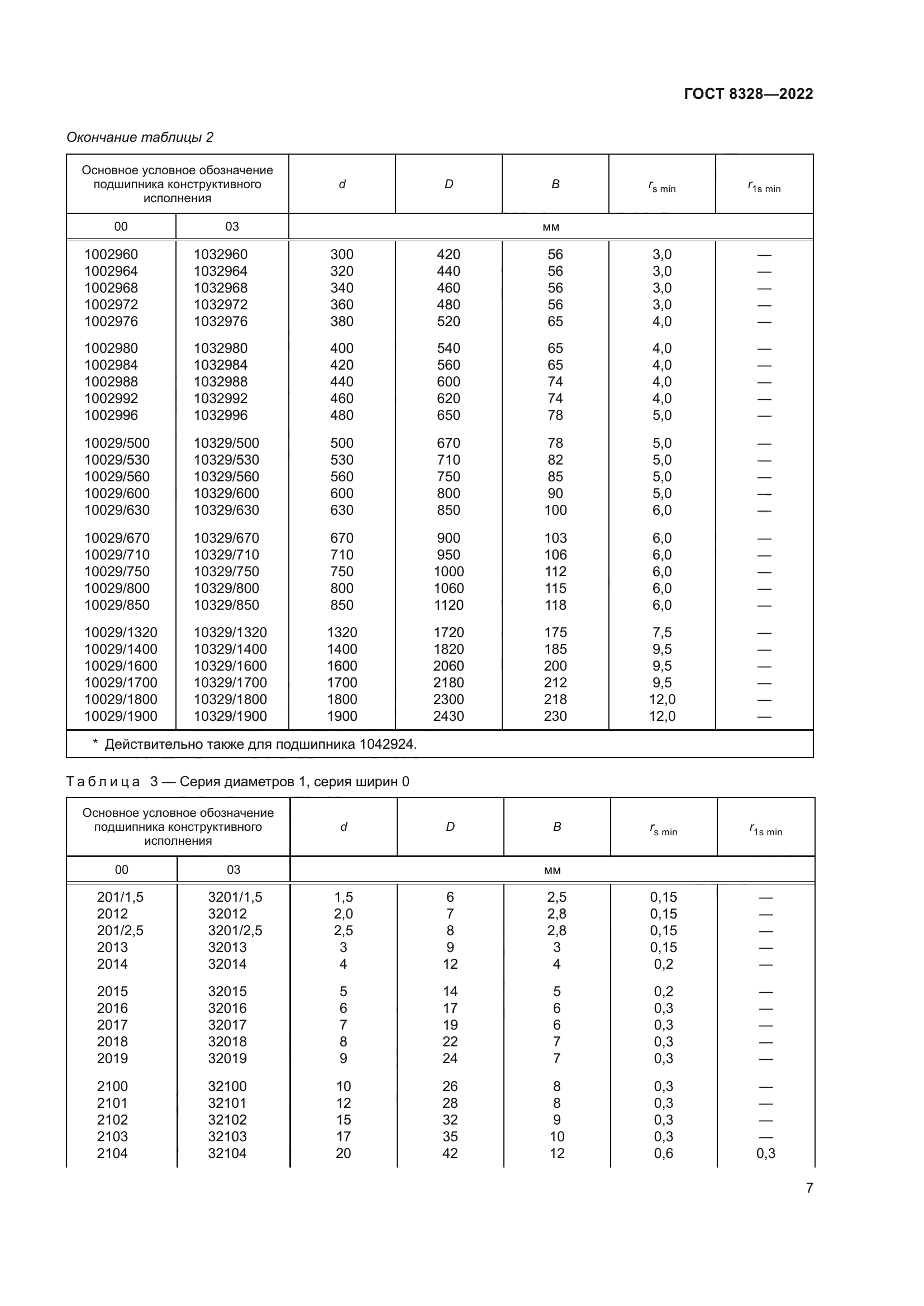
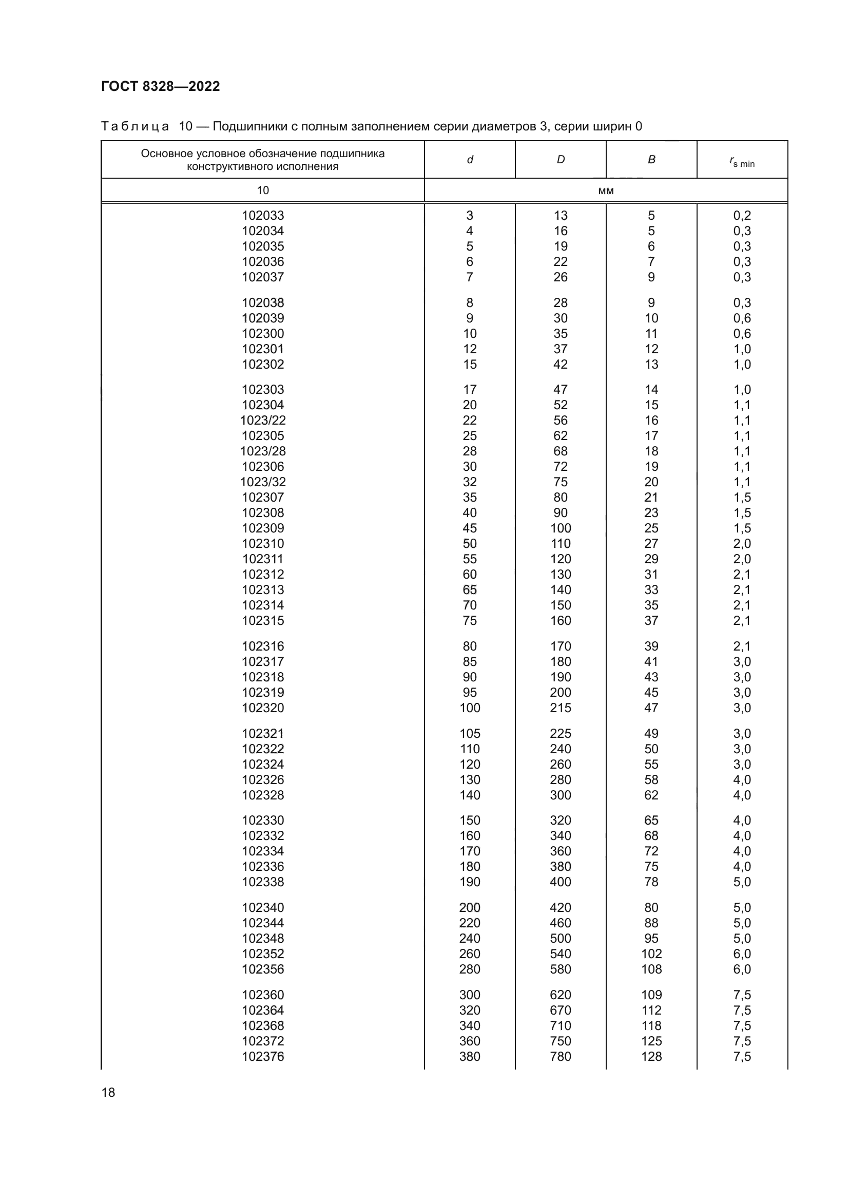
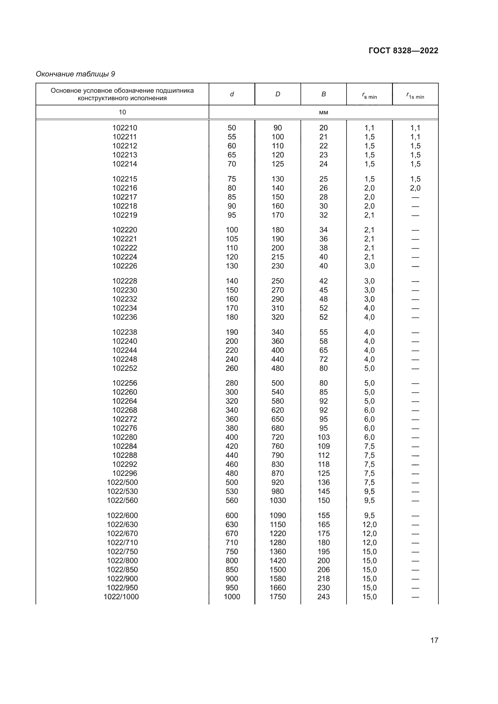
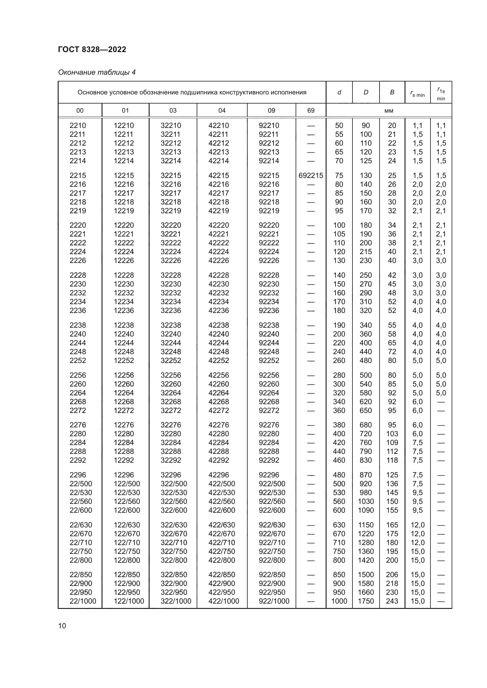
| Область применения: | Настоящий стандарт распространяется на цилиндрические однорядные подшипники, включая цилиндрические однорядные подшипники с канавкой под установочное пружинное кольцо, (далее – подшипники), изготавливаемые по ГОСТ 520, и устанавливает их классификацию по конструктивным исполнениям и присоединительным размерам, указания по применению и эксплуатации |
| Приложение №1: | Поправка к ГОСТ 8328-2022 |
|
| Расположен в: |
|