| Обозначение: |    ГОСТ 8338-2022 | 
| Статус: | действующий | 
| Название рус.: | Подшипники качения. Подшипники шариковые радиальные однорядные. Классификация, указания по применению и эксплуатации | 
| Название англ.: | Rolling bearings. Single-row deep groove ball bearings. Classification, guidance for application and exploitation | 
| Дата актуализации текста: | 01.06.2024 | 
| Дата актуализации описания: | 01.06.2025 | 
| Дата регистрации: | 26.12.2022 | 
| Дата издания: | 07.04.2025 | 
| Дата введения: | 01.04.2023 | 
| Взамен: |  ГОСТ 8338-75 | 
| Нормативные ссылки: |  ГОСТ 520; ГОСТ 2893; ГОСТ 3189; ГОСТ 3325; ГОСТ 3478; ГОСТ 18855; ГОСТ 24955; ГОСТ 25256 | 
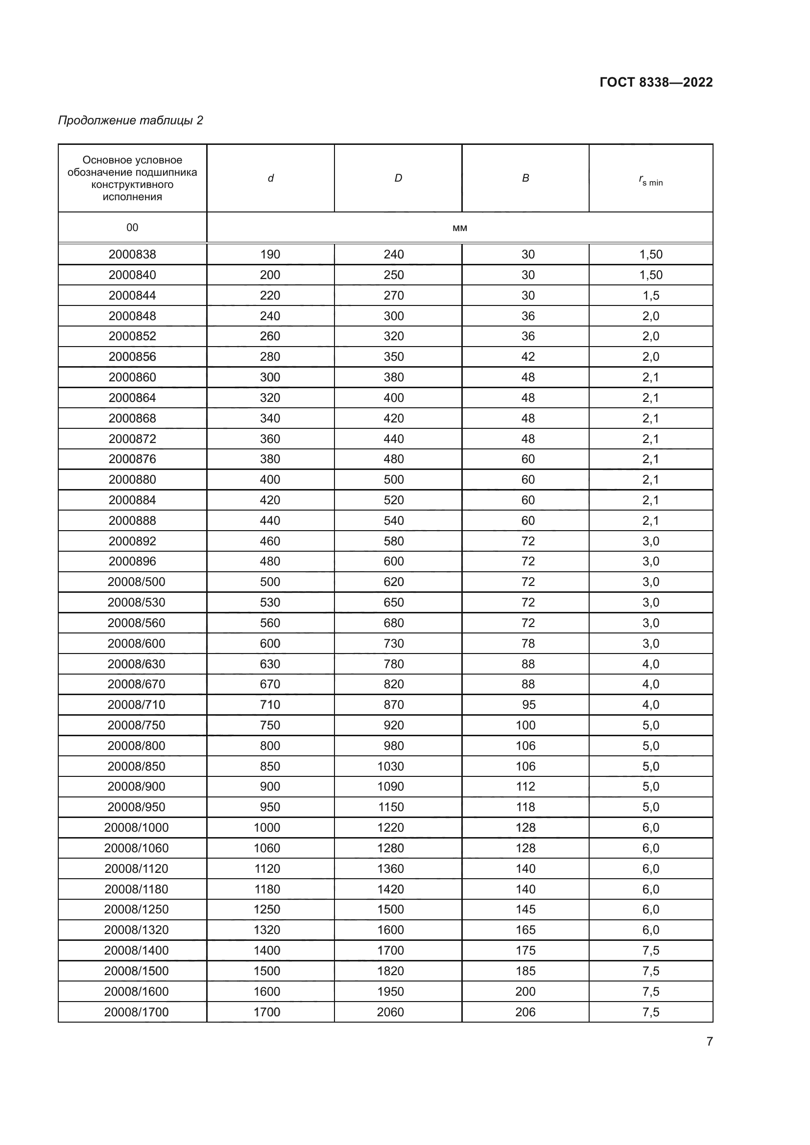
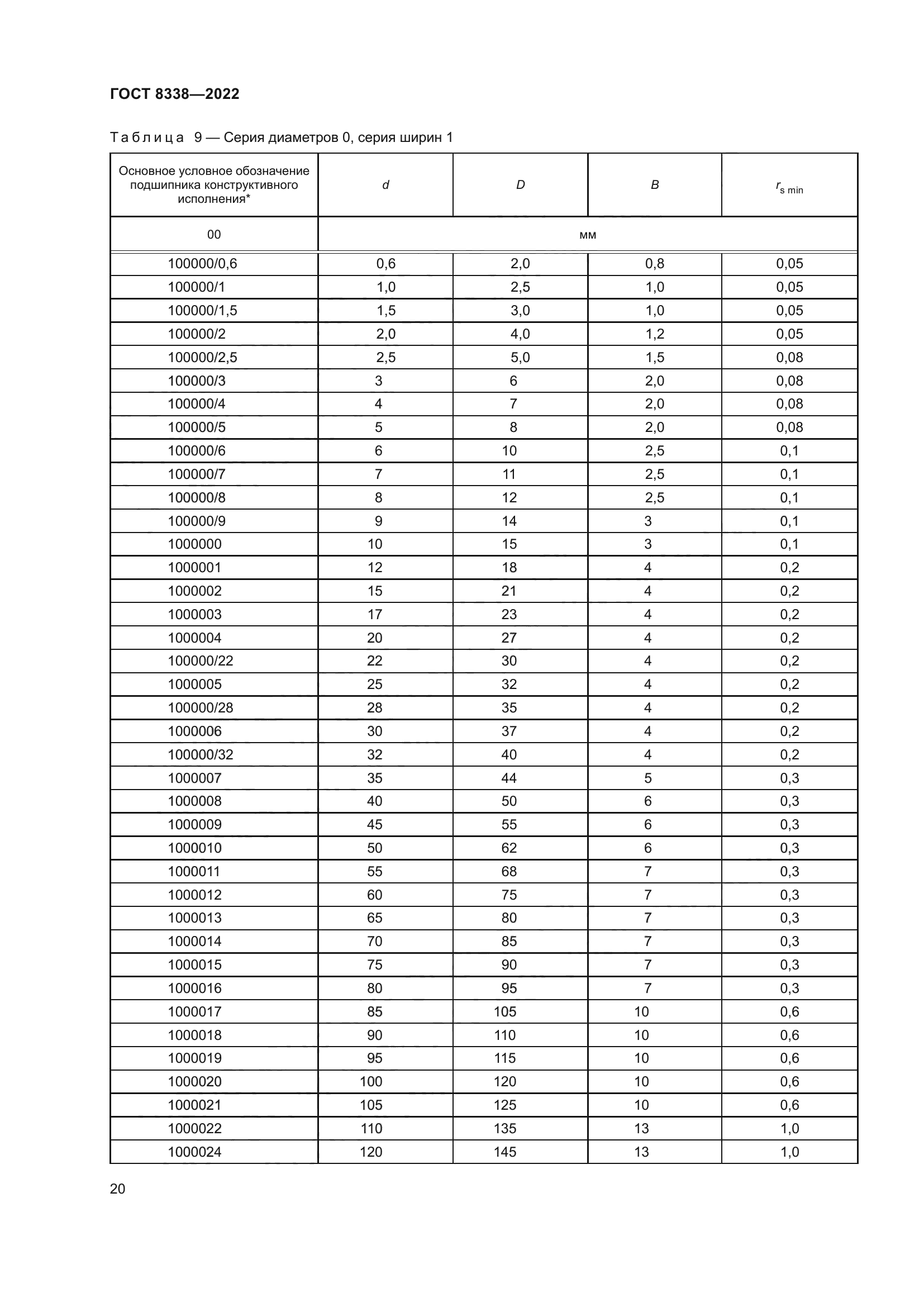
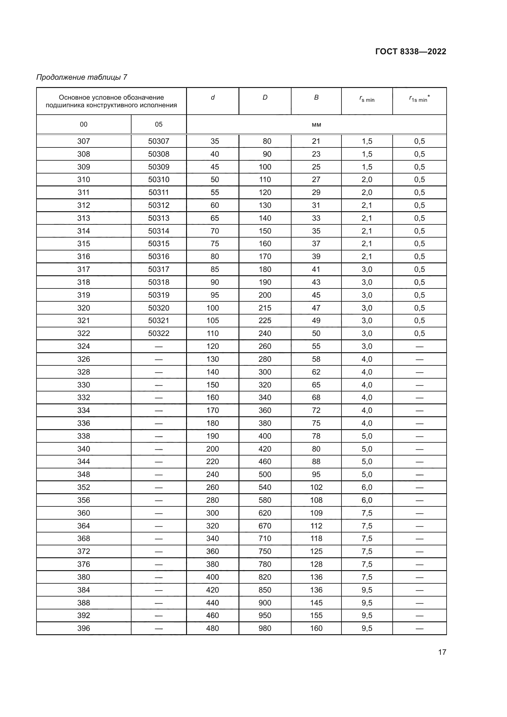
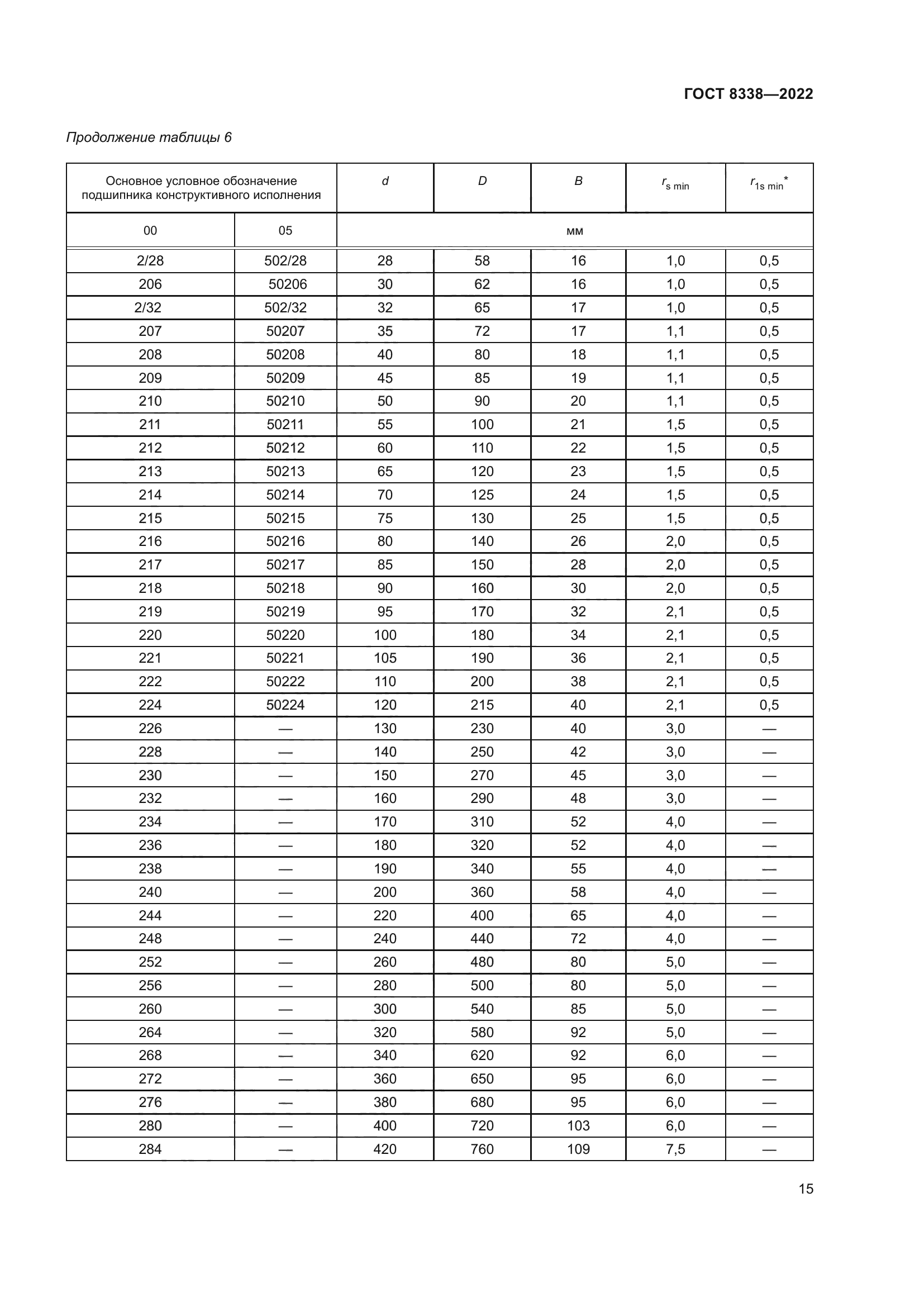
| Область применения: | Настоящий стандарт распространяется на шариковые радиальные однорядные подшипники, включая шариковые радиальные однорядные подшипники с канавкой под установочное пружинное кольцо, (далее – подшипники), изготавливаемые по ГОСТ 520, и устанавливает классификацию по конструктивным исполнениям и присоединительным размерам, указания по применению и эксплуатации | 
| Приложение №1: | Поправка к ГОСТ 8338-2022 | 
 | 
| Расположен в: | 
  |