| Обозначение: |  ГОСТ Р 70590-2022 |
| Статус: | действующий |
| Название рус.: | Единая энергетическая система и изолированно работающие энергосистемы. Релейная защита и автоматика. Дифференциально-фазная защита линий электропередачи классом напряжения 330 кВ и выше. Испытания |
| Название англ.: | United power system and isolated power systems. Relay protection and automation. Differential phase protection of power lines at voltage 330 kV and above. Testing |
| Дата актуализации текста: | 01.07.2023 |
| Дата актуализации описания: | 01.07.2023 |
| Дата издания: | 18.01.2023 |
| Дата введения: | 01.02.2023 |
| Нормативные ссылки: | ГОСТ Р 58601; ГОСТ Р 58886; ГОСТ Р 58980-2020; ГОСТ Р 70358 |
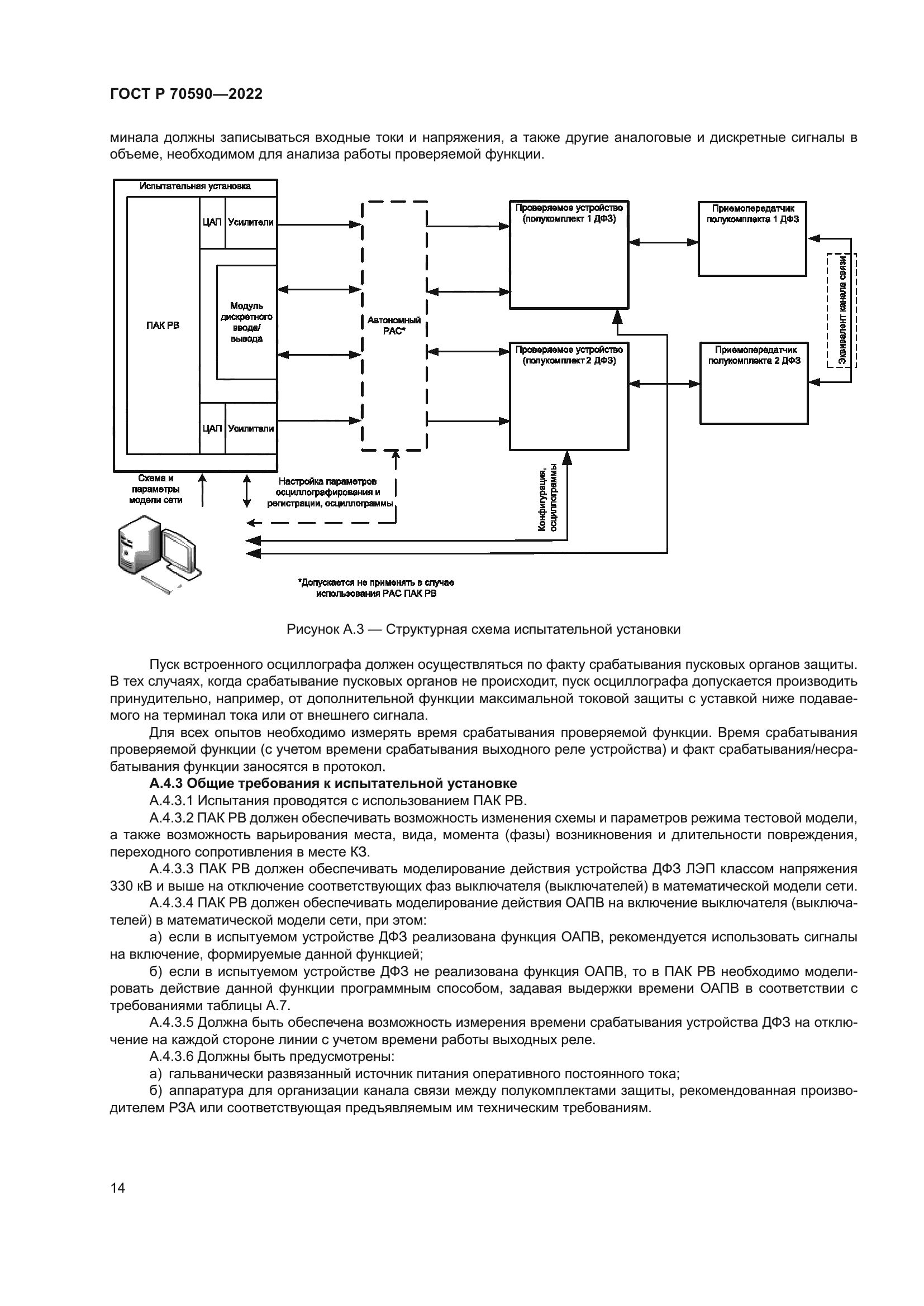
| Область применения: | Настоящий стандарт устанавливает порядок и методику проведения испытаний микропроцессорных устройств релейной защиты и автоматики, содержащих функцию дифференциально-фазной защиты линий электропередачи классом напряжения 330 кВ и выше (далее – устройства ДФЗ ЛЭП классом напряжения 330 кВ и выше), для подтверждения соответствия указанных устройств требованиям ГОСТ Р 58980 в части реализации в них функции дифференциально-фазной защиты линий электропередачи классом напряжения 330 кВ и выше |
|
| Расположен в: |
|