| ||||||||||||||||||||||||||||
Скачать ГОСТ Р 70606-2022 Продукция пищевая специализированная. Продукция пищевая для детского питания. Организация и проведение микробиологического контроля производства продукции детского питания на предприятиях молочной промышленностиДата актуализации: 01.06.2025
| ||||||||||||||||||||||||||||
| Обозначение: | ![]() ГОСТ Р 70606-2022 |
| Статус: | действующий |
| Название рус.: | Продукция пищевая специализированная. Продукция пищевая для детского питания. Организация и проведение микробиологического контроля производства продукции детского питания на предприятиях молочной промышленности |
| Название англ.: | Foods for special dietary uses. Food production for baby foods. The organization and procedure of microbiological control of the production of baby food at the dairy industry |
| Дата актуализации текста: | 01.07.2023 |
| Дата актуализации описания: | 01.07.2023 |
| Дата издания: | 11.01.2023 |
| Дата введения: | 16.01.2023 |
| Нормативные ссылки: | ГОСТ 3622; ГОСТ 3623; ГОСТ 5962; ГОСТ 10444.8; ГОСТ 10444.11; ГОСТ 10444.15; ГОСТ 26809.1; ГОСТ 28805; ГОСТ 28566; ГОСТ 29185; ГОСТ 30347; ГОСТ 30705; ГОСТ 30706; ГОСТ 30726; ГОСТ 31659; ГОСТ 31708; ГОСТ 31904; ГОСТ 31942; ГОСТ 32011; ГОСТ 32031; ГОСТ 32064; ГОСТ 32901; ГОСТ 33491; ГОСТ 33566; ГОСТ 33924; ГОСТ 33951;ГОСТ ISO 7218;ГОСТ ISO 16140;ГОСТ ISO 21871;ГОСТ ISO 29981;ГОСТ ISO/IEC 17025;ГОСТ ISO/TS 22964; ГОСТ Р 51232; ГОСТ Р 51705.1; ГОСТ Р 52357; ГОСТ Р 56139 |
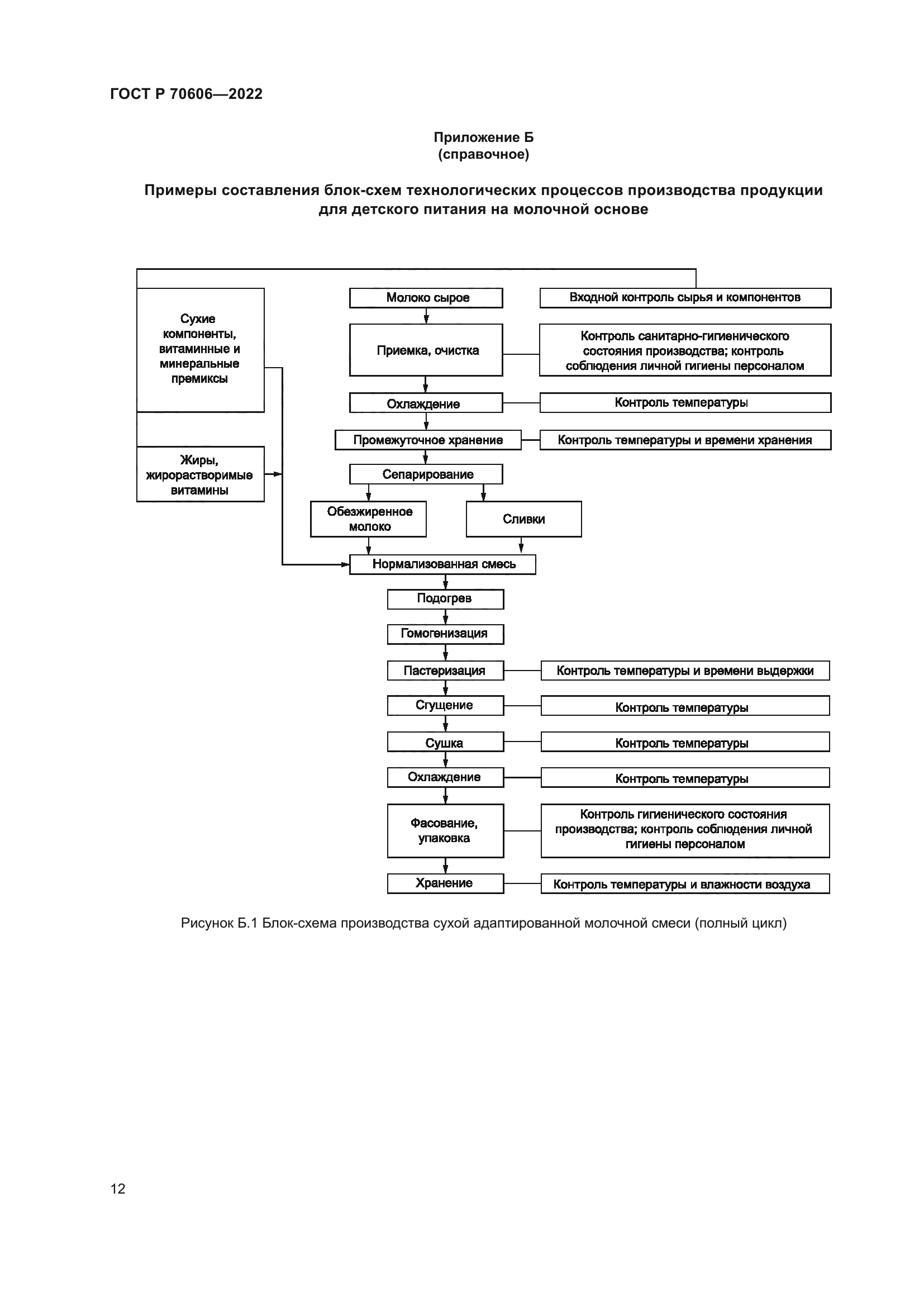
| Область применения: | Настоящий стандарт устанавливает основные положения по органи-зации и порядку проведения микробиологического контроля производства продукции для детского питания на молочной основе для детей раннего возраста (от нуля до трех лет), адаптированных или частично адаптированных начальных или последующих молочных смесей (в том числе сухих), сухих кисломолочных смесей, молочных напитков (в том числе сухих), молочных каш (в том числе сухих), низколактозной и безлактозной продукции, высокобелковой продукции |
| Расположен в: | |



































