| Обозначение: |  ГОСТ Р 70571-2022 |
| Статус: | действующий |
| Название рус.: | Двутавры стальные сварные с поперечно-гофрированной стенкой для строительных конструкций. Сортамент |
| Название англ.: | I-beam steel welded structures with transverse corrugated wall for constructions. Assortment |
| Дата актуализации текста: | 01.07.2023 |
| Дата актуализации описания: | 01.07.2023 |
| Дата издания: | 11.01.2023 |
| Дата введения: | 01.02.2023 |
| Нормативные ссылки: | ГОСТ 8278; ГОСТ Р 70006;СП 16.13330.2017 |
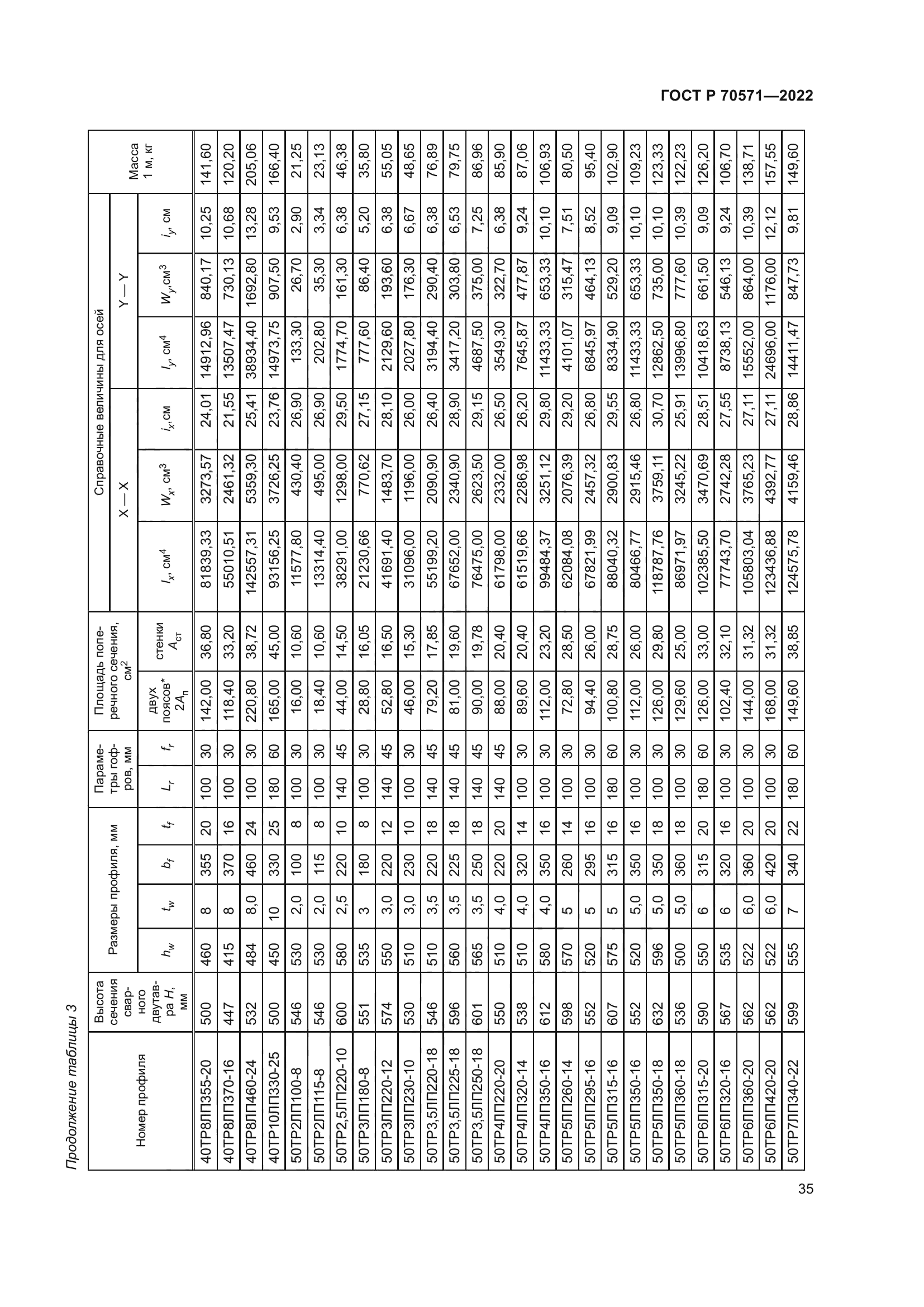
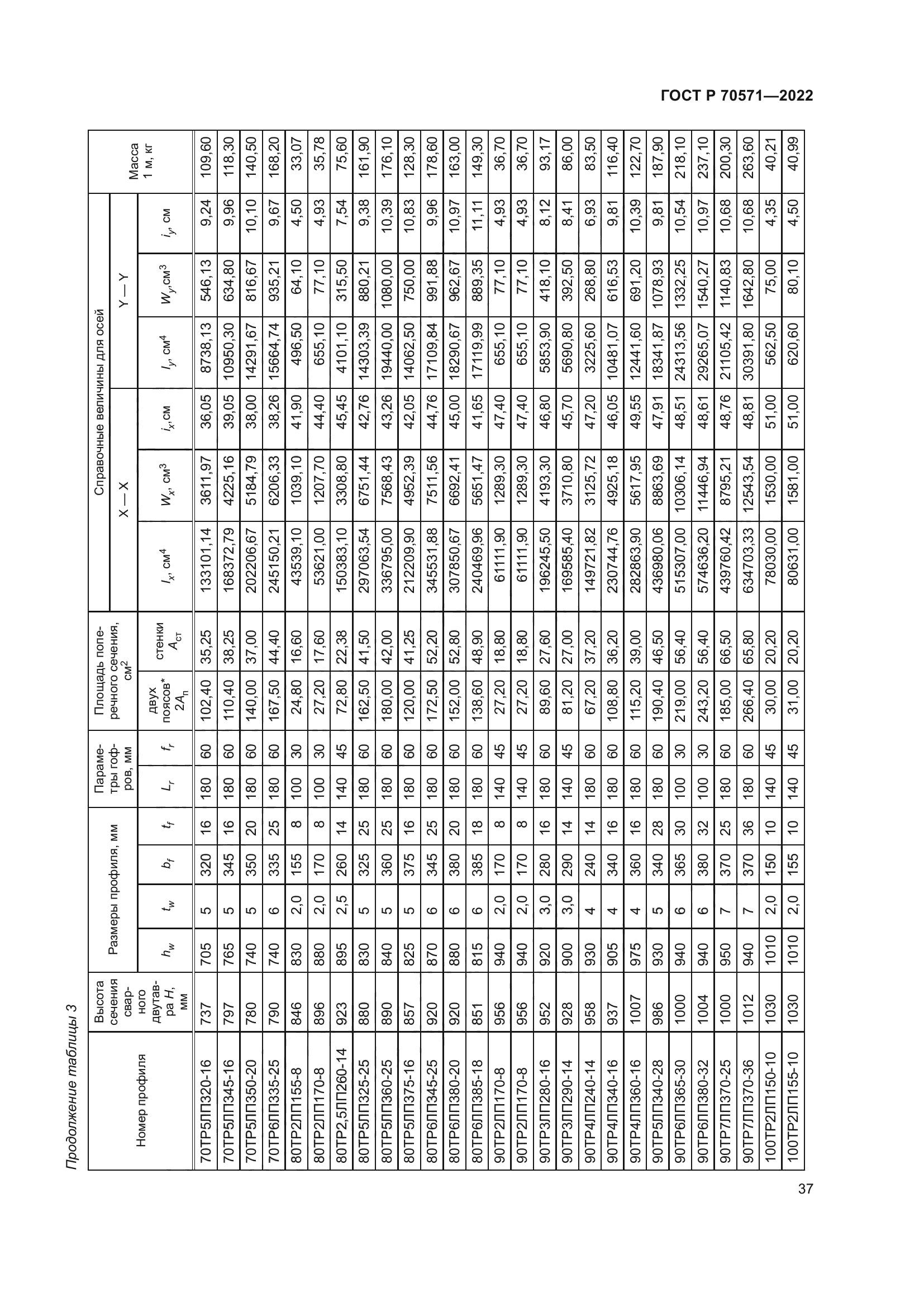
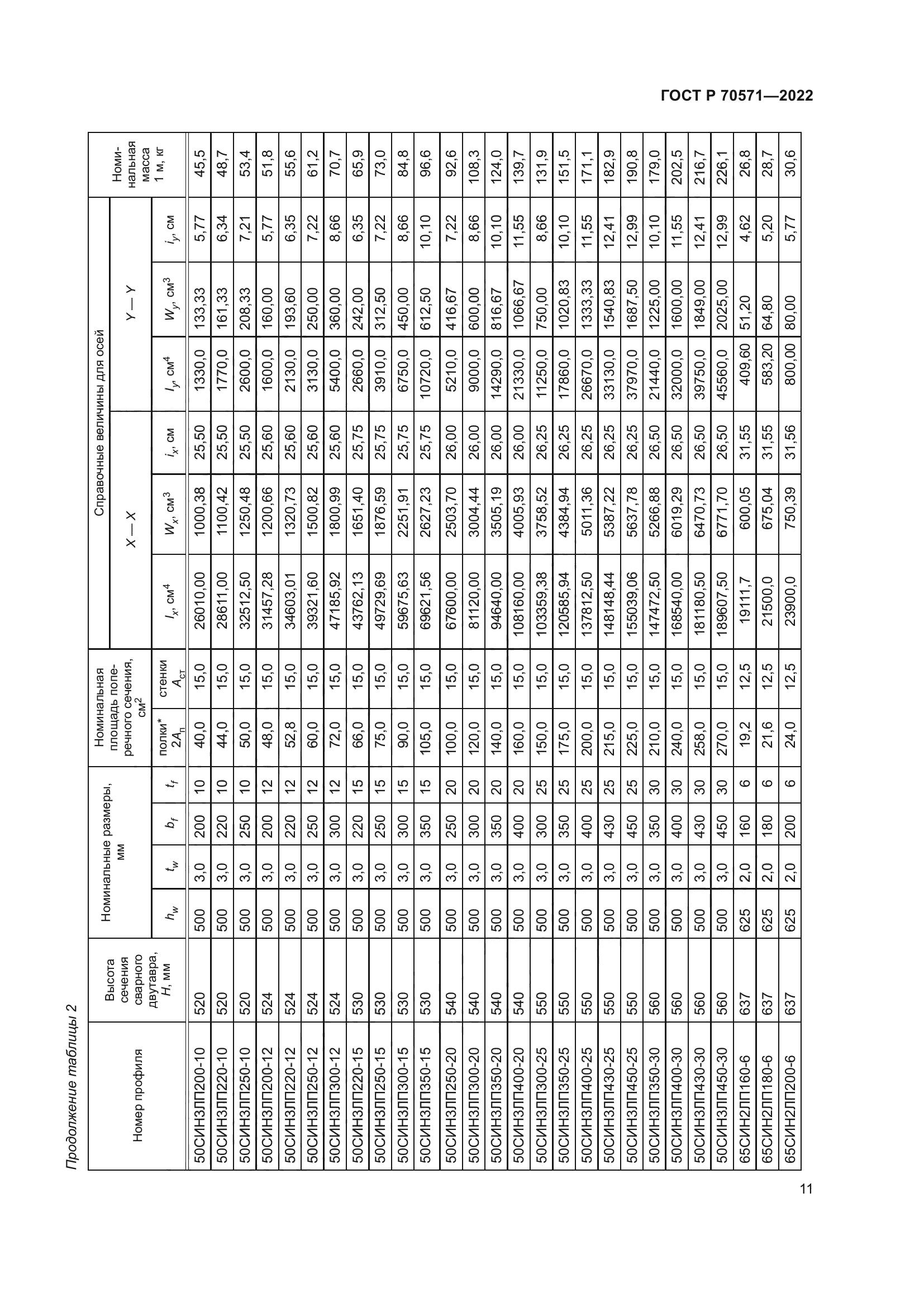
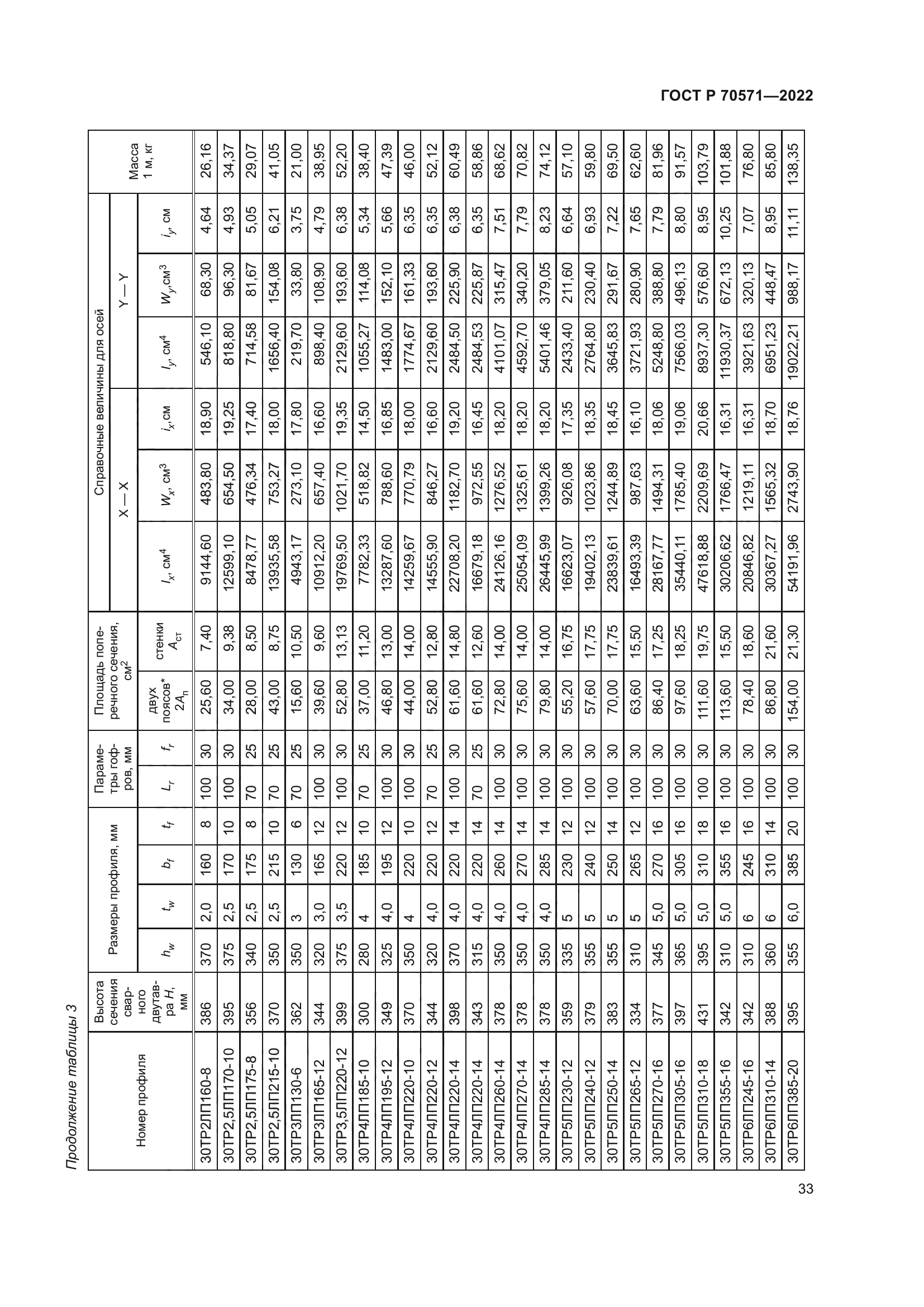
| Область применения: | Настоящий стандарт распространяется на сварные двутавры с поперечно-гофрированными стенками синусоидальной и треугольной формы гофров и устанавливает сортамент изделий |
|
| Расположен в: |
|