| Обозначение: |  ГОСТ Р 70569-2022 |
| Статус: | действующий |
| Название рус.: | Информационные технологии. Сетецентрические информационно-управляющие системы. Интероперабельность |
| Название англ.: | Information technologies. Network-centric information-control systems. Interoperability |
| Дата актуализации текста: | 01.07.2023 |
| Дата актуализации описания: | 01.07.2023 |
| Дата издания: | 27.12.2022 |
| Дата введения: | 30.03.2023 |
| Нормативные ссылки: | ГОСТ Р 1.12; ГОСТ Р 55062; ГОСТ Р 59796; ГОСТ Р ИСО 11354-1; ГОСТ Р ИСО 11354-2; ГОСТ Р ИСО/МЭК 25000; ГОСТ Р ИСО/МЭК 25010 |
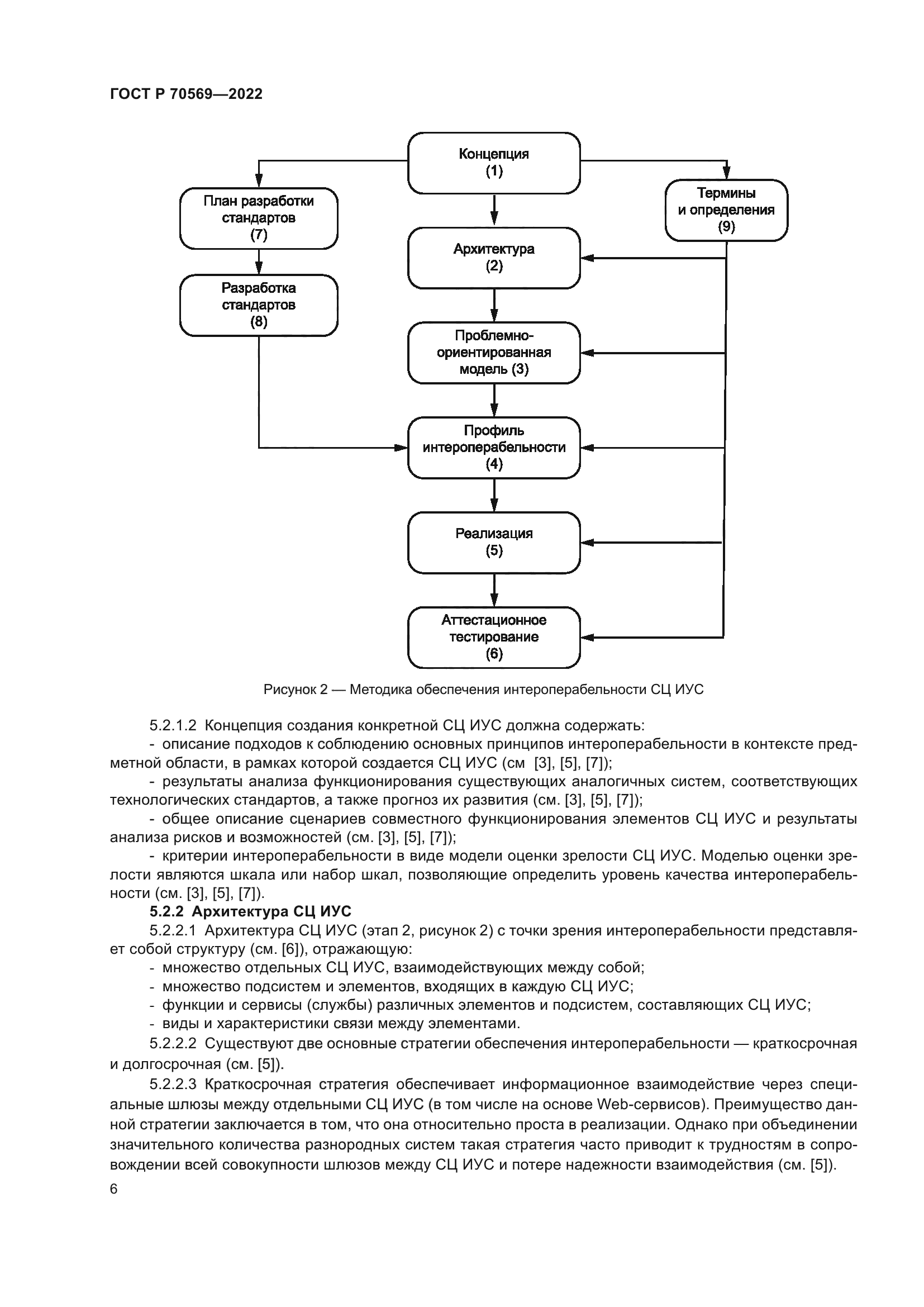
| Область применения: | Настоящий стандарт распространяется на сетецентрические информационно-управляющие системы (СЦ ИУС). Настоящий стандарт устанавливает основные положения по обеспечению интероперабельности СЦ ИУС в ходе их создания и развития |
|
| Расположен в: |
|