| Обозначение: |  ГОСТ Р 59712-2022 |
| Статус: | действующий |
| Название рус.: | Защита информации. Управление компьютерными инцидентами. Руководство по реагированию на компьютерные инциденты |
| Название англ.: | Information protection. Computer incident management. Guide to responding to computer incident |
| Дата актуализации текста: | 01.01.2023 |
| Дата актуализации описания: | 01.07.2023 |
| Дата издания: | 08.12.2022 |
| Дата введения: | 01.02.2023 |
| Нормативные ссылки: | ГОСТ Р 59547; ГОСТ Р 59709; ГОСТ Р 59710; ГОСТ Р 59711-2022 |
| Область применения: | Настоящий стандарт определяет содержание этапов, выполняемых на следующих стадиях управления компьютерными инцидентами: - обнаружение и регистрация компьютерных инцидентов; - реагирование на компьютерные инциденты; - анализ результатов деятельности по управлению компьютерными инцидентами. Настоящий стандарт предназначен как для субъектов государственной системы обнаружения, предупреждения и ликвидации последствий компьютерных атак на информационные ресурсы Российской Федерации (ГосСОПКА), самостоятельно осуществляющих управление компьютерными инцидентами в отношении собственных информационных ресурсов, так и для субъектов ГосСОПКА, в зону ответственности которых входят информационные ресурсы, принадлежащие другим субъектамГосСОПКА (далее – организации) |
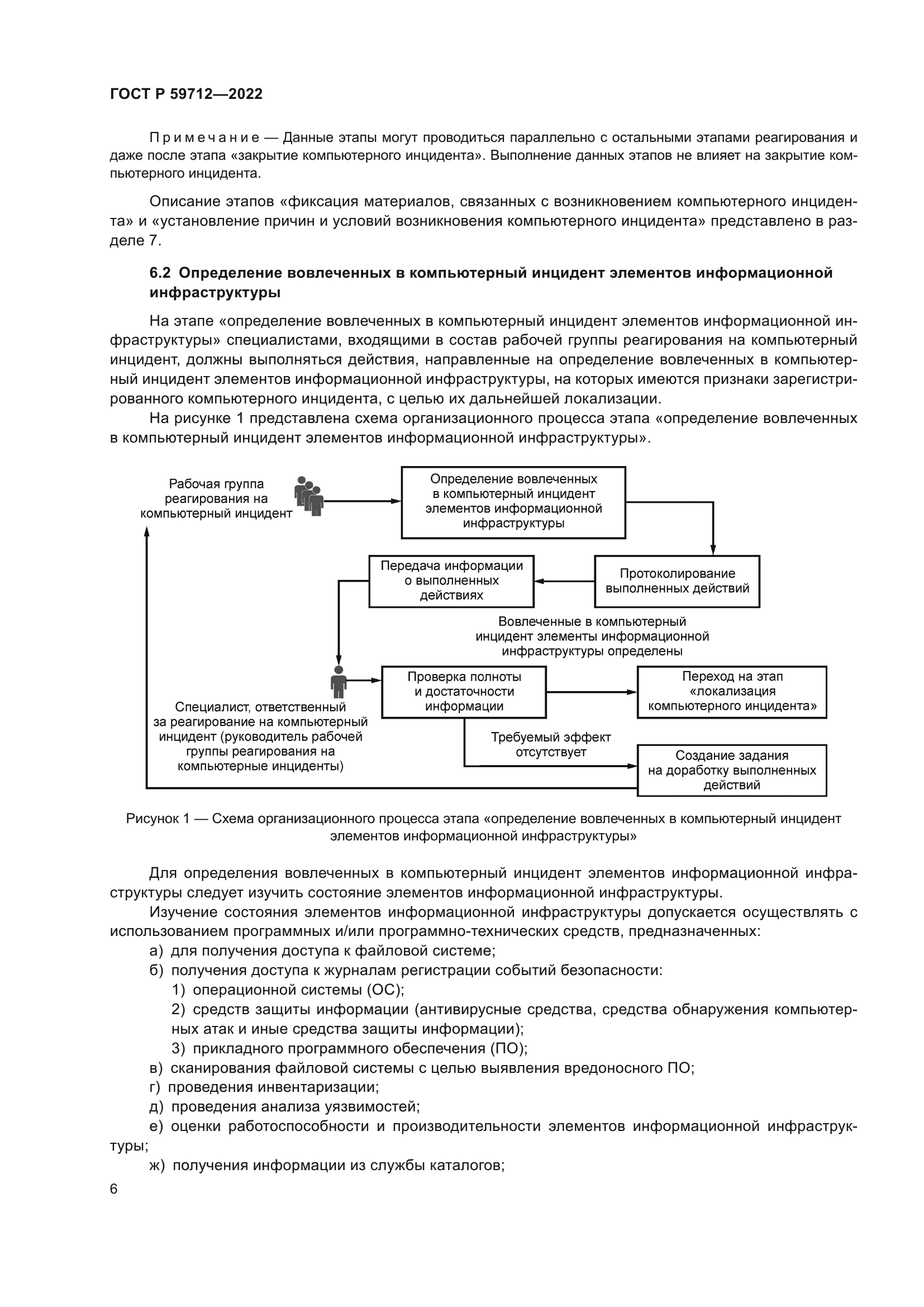
|
| Расположен в: |
|