| Обозначение: |  ГОСТ Р 59679-2022 |
| Статус: | действующий |
| Название рус.: | Комплексная система управления научными исследованиями и разработками. Общие положения |
| Название англ.: | Integrated research and development management system. Fundamentals |
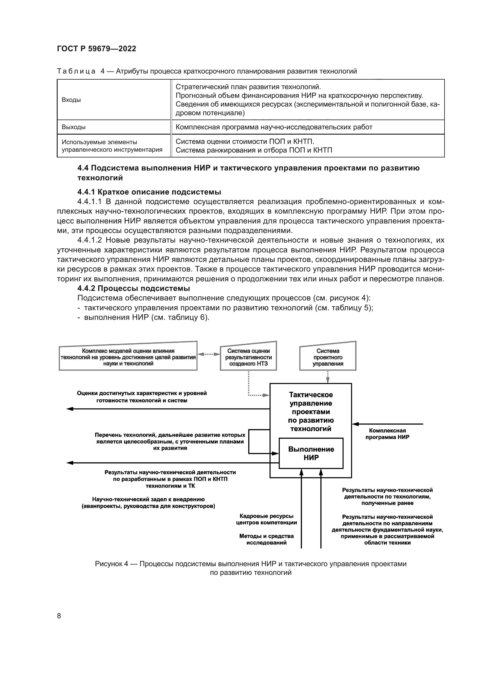
| Дата актуализации текста: | 01.01.2023 |
| Дата актуализации описания: | 01.01.2023 |
| Дата издания: | 02.12.2022 |
| Дата введения: | 01.01.2023 |
| Область применения: | Настоящий стандарт распространяется на систему управления прикладными научными исследованиями в наукоемких и высокотехнологичных отраслях промышленности. Настоящий стандарт устанавливает требования к процессам управления прикладными научными исследованиями в наукоемких и высокотехнологичных отраслях промышленности при формировании научно-технического задела |
|
| Расположен в: |
|