| Обозначение: |  ГОСТ Р ИСО 18562-1-2022 |
| Статус: | действующий |
| Название рус.: | Оценка биосовместимости каналов дыхательных газов в медицинских изделиях. Часть 1. Оценка и проведение испытания в процессе менеджмента риска |
| Название англ.: | Biocompatibility evaluation of breathing gas pathways in healthcare applications. Part 1. Evaluation and testing within a risk management process |
| Дата актуализации текста: | 01.01.2023 |
| Дата актуализации описания: | 01.07.2023 |
| Дата издания: | 01.12.2022 |
| Дата введения: | 01.07.2023 |
| Аутентичен стандартам: | ISO 18562-1:2017 |
| Нормативные ссылки: | ISO 7396-1:2016;ISO 10993-1:2009;ISO 10993-17:2002;ISO 14971:2007;ISO 18562-2;ISO 18562-3;ISO 18562-4 |
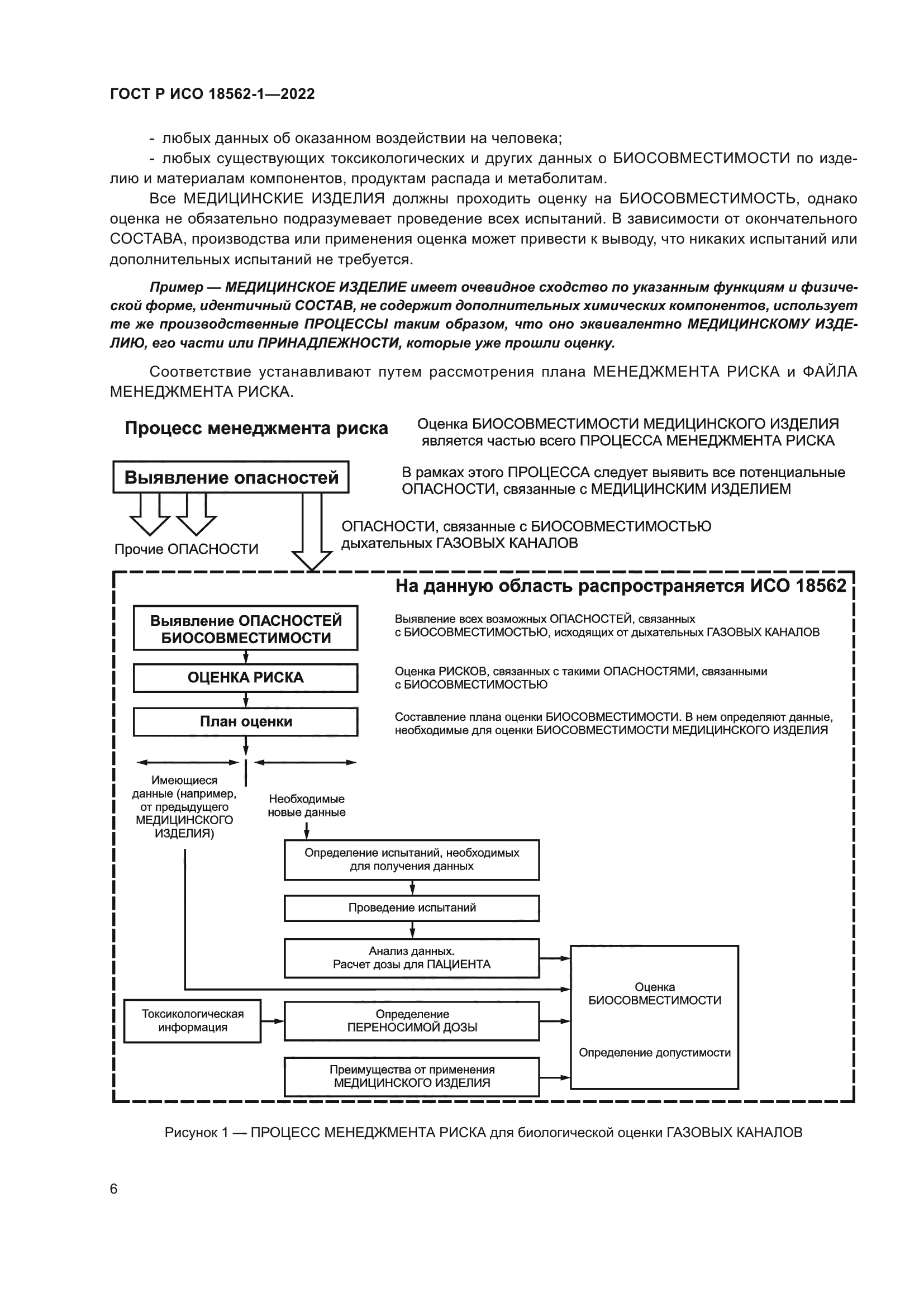
| Область применения: | В настоящем стандарте определены: - общие принципы, регулирующие биологическую оценку в процессе менеджмента риска газовых каналов медицинского изделия, его деталей или принадлежностей, которые предназначены для обеспечения искусственной вентиляции легких или подачи веществ по дыхательным путям пациенту в любых условиях; - общая классификация газовых каналов по характеру и продолжительности их контакта с газовым потоком; - оценка имеющихся соответствующих данных из всех источников; - выявление недостатков в имеющемся наборе данных на основе анализа рисков; - определение дополнительных наборов данных, необходимых для анализа биологической безопасности газового канала; - оценка биологической безопасности газового канала |
|
| Расположен в: |
|