| Обозначение: |  ГОСТ Р 59680-2022 |
| Статус: | действующий |
| Название рус.: | Комплексная система управления научными исследованиями и разработками. Прогнозирование и стратегическое планирование научно-технологического развития |
| Название англ.: | Integrated research and development management system. Forecasting and strategic planning of scientific and technological development |
| Дата актуализации текста: | 01.01.2023 |
| Дата актуализации описания: | 01.01.2023 |
| Дата издания: | 24.11.2022 |
| Дата введения: | 01.01.2023 |
| Нормативные ссылки: | ГОСТ Р 59679 |
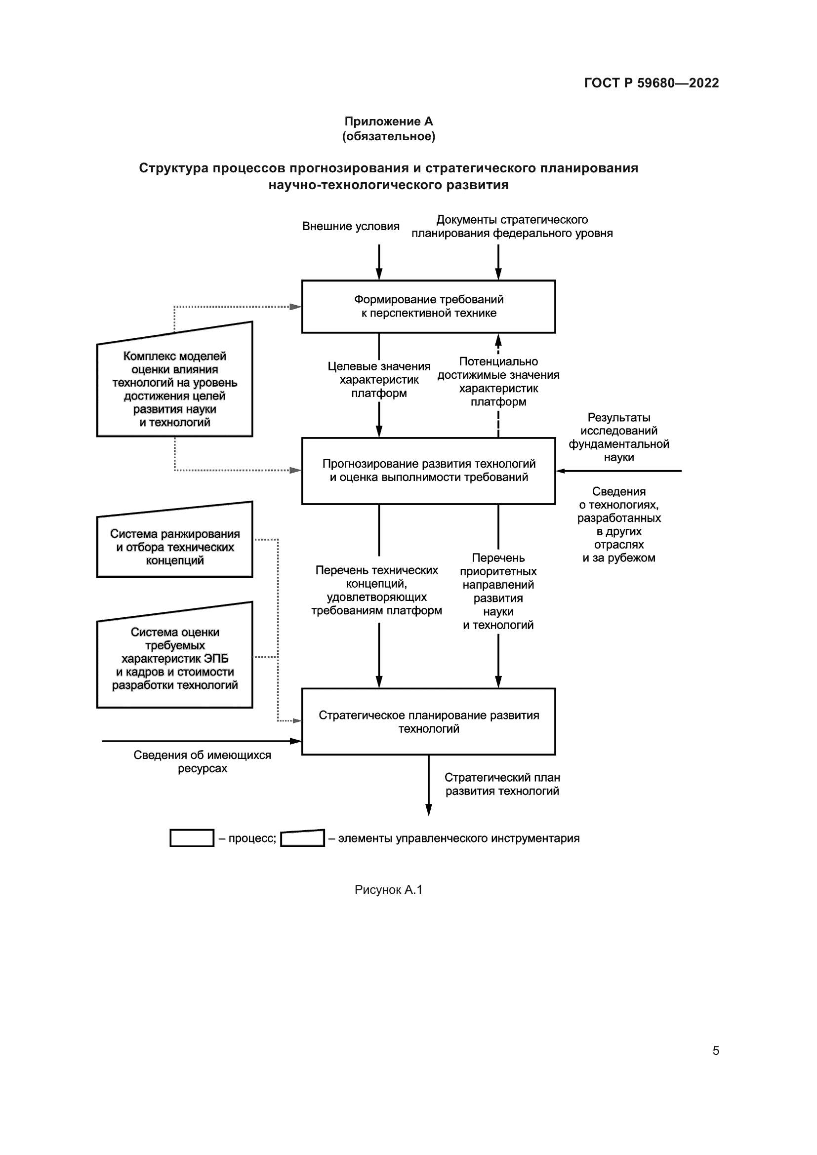
| Область применения: | Настоящий стандарт устанавливает порядок проведения работ по прогнозированию и стратегическому планированию научно-технологического развития. Настоящий стандарт устанавливает требования к процессам управления прикладными научными исследованиями в наукоемких и высокотехнологичных отраслях промышленности при формировании научно-технического задела |
|
| Расположен в: |
|