| Обозначение: |  ГОСТ Р 70394-2022 |
| Статус: | действующий |
| Название рус.: | Информатизация здоровья. Обмен данными с медицинскими приборами в месте оказания медицинской помощи. Часть 10103. Номенклатура. Имплантируемые кардиологические приборы |
| Название англ.: | Health informatics. Point-of-care medical device communication. Part 10103. Nomenclature. Implantable device, cardiac |
| Дата актуализации текста: | 01.01.2023 |
| Дата актуализации описания: | 01.07.2023 |
| Дата издания: | 01.11.2022 |
| Дата введения: | 01.03.2023 |
| Аутентичен стандартам: | ISO/IEEE 11073-10103:2014 |
| Нормативные ссылки: | IEEE 11073-10101:2004;The Unified Code for Units of Measure |
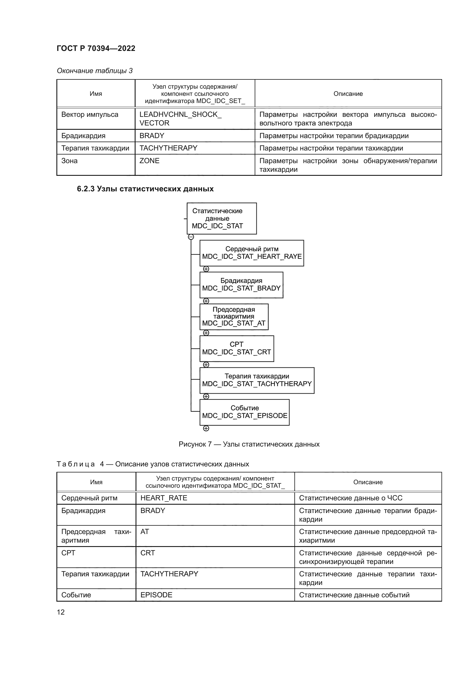
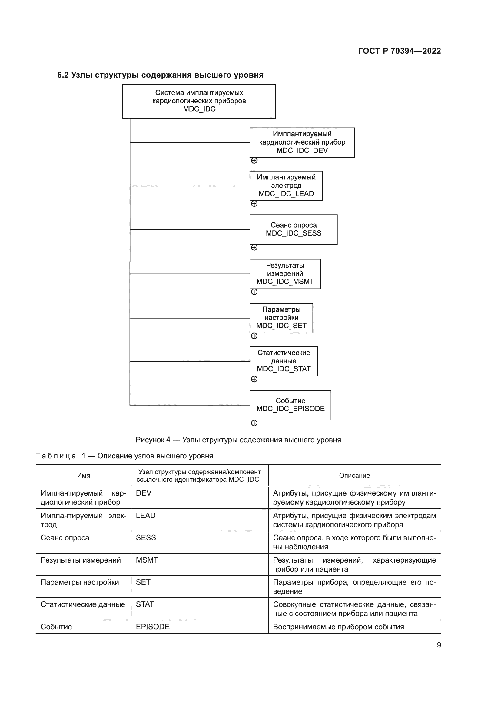
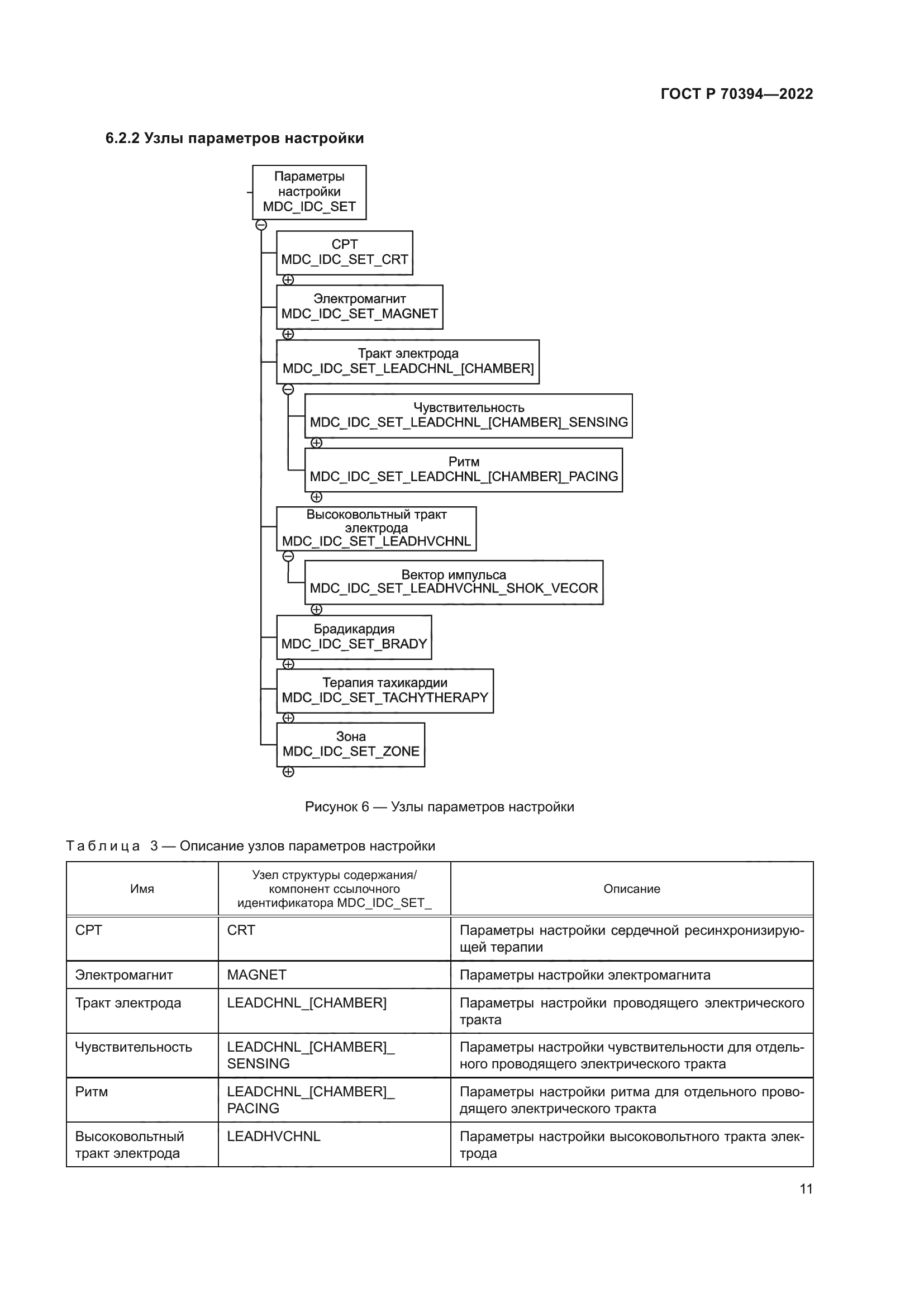
| Область применения: | Настоящий стандарт для формирования терминологии, используемой в области имплантируемых кардиологических приборов, устанавливает их базовую номенклатуру, представленную в стандарте ISO/IEEE 11073-10101:2004. В эту номенклатуру входят такие имплантируемые приборы, как кардиостимуляторы, дефибрилляторы, приборы сердечной ресинхронизирующей терапии и имплантируемые кардиомониторы. В этой номенклатуре определены специальные термины, необходимые для передачи клинически значимой сводной информации, которая была получена в ходе запроса прибора. Расширения номенклатуры могут использоваться в сочетании с другими частями стандарта IEEE 11073 (например, ISO/IEEE 11073-10201 [B2]) или с другими стандартами, например, Health Level Seven International (HL7) |
|
| Расположен в: |
|