| Обозначение: |  ГОСТ Р 70064.2-2022 |
| Статус: | действующий |
| Название рус.: | Фильтры очистки воздуха общего назначения. Часть 2. Определение фракционной эффективности и перепада давления |
| Название англ.: | Air filters for general ventilation. Part 2. Measurement of fractional efficiency and air flow resistance |
| Дата актуализации текста: | 01.01.2023 |
| Дата актуализации описания: | 01.01.2025 |
| Дата издания: | 27.09.2022 |
| Дата введения: | 01.01.2023 |
| Дата окончания срока действия: | 01.01.2026 |
| Заменяющий: | ГОСТ Р 71490-2024 |
| Содержит требования: | ISO 16890-2:2016 |
| Нормативные ссылки: | ГОСТ 8.586.1; ГОСТ Р 70064.1; ГОСТ Р 70064.3; ГОСТ Р 70064.4; ГОСТ Р ЕН 1822-1; ГОСТ Р ЕН 1822-2; ГОСТ Р ЕН 1822-3; ГОСТ Р ЕН 1822-4; ГОСТ Р ЕН 1822-5; ГОСТ Р ИСО 21501-4 |
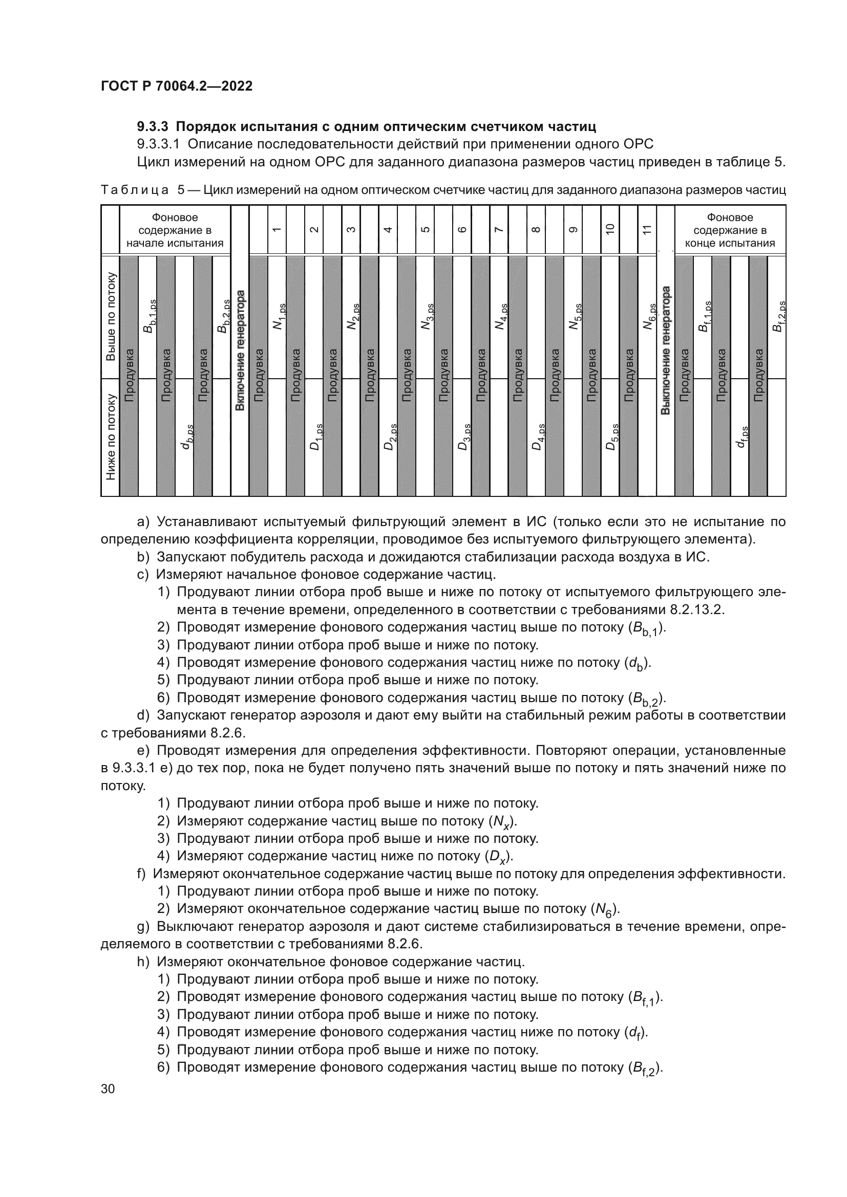
| Область применения: | Настоящий стандарт устанавливает процедуру подготовки аэрозоля, испытательное оборудование и методики испытаний фильтров очистки воздуха общего назначения для определения их фракционной эффективности и перепада давлений. Настоящий стандарт предназначен для совместного применения с ГОСТ Р 70064.1, ГОСТ Р 70064.3 и ГОСТ Р 70064.4. Установленный в настоящем стандарте метод испытаний применяют при расходе воздуха в диапазоне от 0,25 м3/с (900 м3/ч) до 1,5 м3/с (5400 м3/ч) в ИС номинальной площадью поперечного сечения 610 Ч 610 мм. Испытания, установленные в стандартах серии ГОСТ Р 70064, применяют для фильтров очистки воздуха общего назначения с эффективностью улавливания взвешенных частиц ePM1 не более 99 % и ePM10 более 20 % |
|
| Расположен в: |
|