| Обозначение: |  ГОСТ Р 70349-2022 |
| Статус: | действующий |
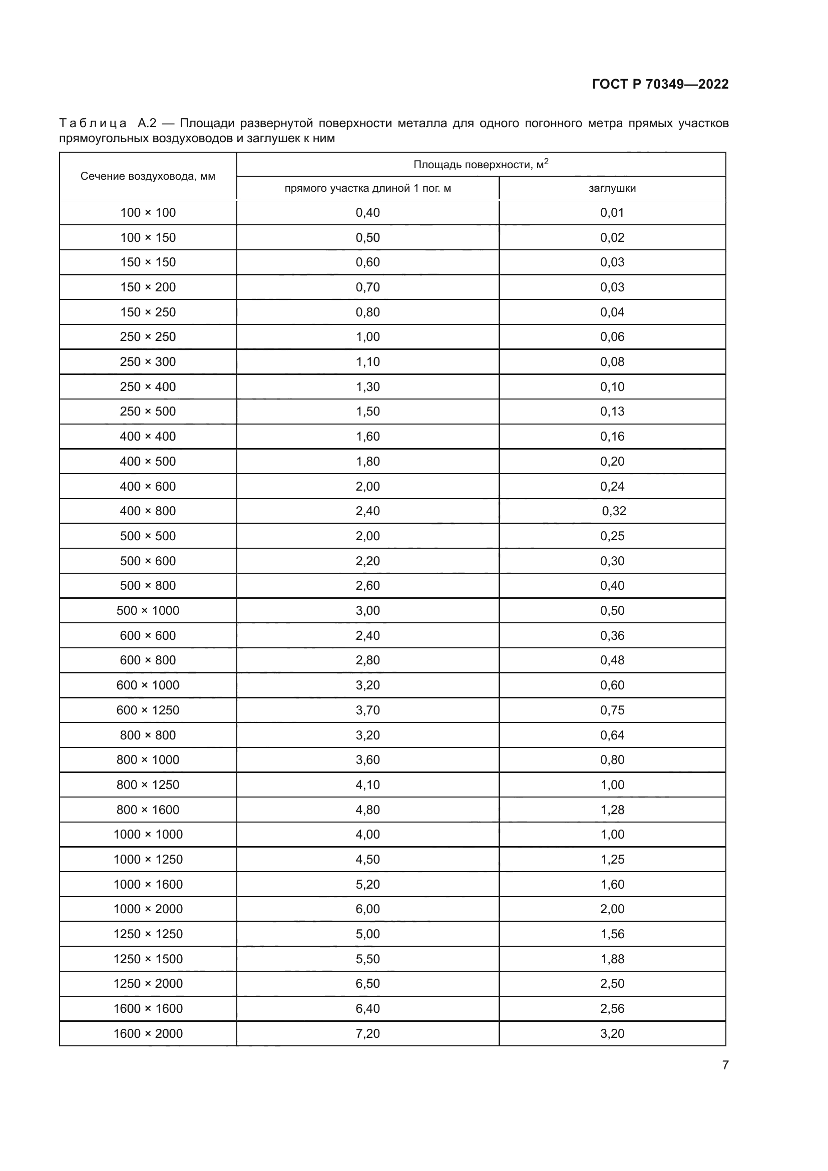
| Название рус.: | Вентиляция зданий. Воздуховоды. Классификация и основные параметры |
| Название англ.: | Ventilation of buildings. Air ducts. Classification and basic parameters |
| Дата актуализации текста: | 01.01.2023 |
| Дата актуализации описания: | 01.07.2023 |
| Дата издания: | 22.09.2022 |
| Дата введения: | 01.01.2023 |
| Нормативные ссылки: | ГОСТ 34060-2017;СП 7.13130.2013;СП 60.13330.2020;СП 73.13330.2016 |
| Область применения: | Настоящий стандарт распространяется на воздуховоды систем: общеобменной вентиляции; противопожарной вентиляции (дымоудаления, приточной противодымной вентиляции, компенсации дымоудаления); местной приточной и вытяжной вентиляции; подпора воздуха; аварийной вентиляции; воздушного отопления; центрального кондиционирования воздуха; местного кондиционирования воздуха; аспирации; пневмотранспорта (далее – воздуховоды) зданий и сооружений, являющихся объектами нового строительства, реконструкции, эксплуатации. Стандарт не распространяется на технологические каналы систем вентиляции и кондиционирования воздуха, выполненные в пустотах конструкций стен и перекрытий |
|
| Расположен в: |
|