| Обозначение: |  ГОСТ Р 70316-2022 |
| Статус: | действующий |
| Название рус.: | Пространственные данные. Пространственная привязка по географическим идентификаторам |
| Название англ.: | Spatial data. Spatial referencing by geographic identifiers |
| Дата актуализации текста: | 01.01.2023 |
| Дата актуализации описания: | 01.07.2023 |
| Дата издания: | 16.09.2022 |
| Дата введения: | 01.06.2023 |
| Содержит требования: | ISO 19112:2019 |
| Нормативные ссылки: | ГОСТ Р 52572-2006; ГОСТ Р 57668-2017; ГОСТ Р 58570-2019; ГОСТ Р 58571-2019; ГОСТ 7.67 |
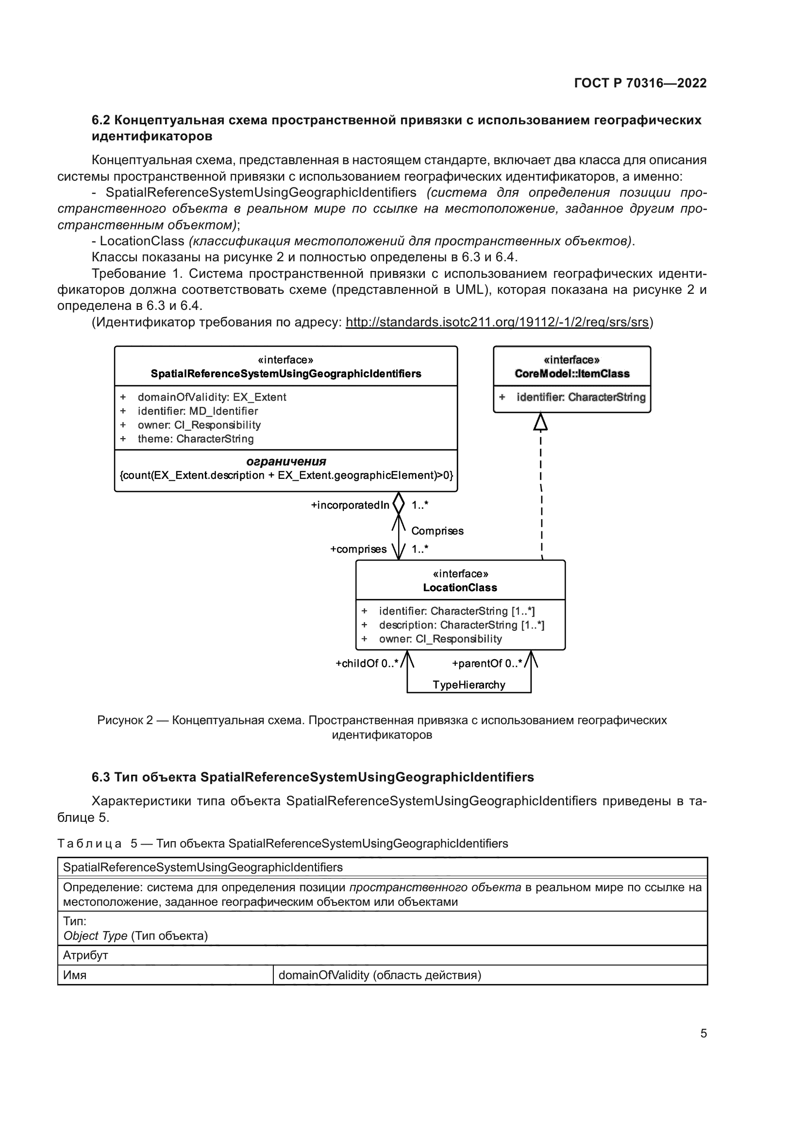
| Область применения: | Настоящий стандарт определяет концептуальную схему для пространственных привязок на основе географических идентификаторов. Он устанавливает общую модель пространственной привязки с использованием географических идентификаторов, компоненты системы пространственной привязки, а также формирует концептуальную схему географического справочника. Пространственная привязка по координатам рассмотрена в ГОСТ Р 52572. Тем не менее в настоящем стандарте представлен механизм записи дополнительных ссылок на координаты |
|
| Расположен в: |
|