| Обозначение: |  ГОСТ Р 59701.1-2022 |
| Статус: | действующий |
| Название рус.: | Вибрация. Средства измерений общей и локальной вибрации. Часть 1. Виброметры общего назначения |
| Название англ.: | Mechanical vibration. Instrumentation for measuring whole-body and hand-transmitted vibration. Part 1. General purpose vibration meters |
| Дата актуализации текста: | 01.01.2023 |
| Дата актуализации описания: | 01.07.2023 |
| Дата издания: | 19.08.2022 |
| Дата введения: | 01.09.2022 |
| Содержит требования: | ISO 8041-1:2017 |
| Нормативные ссылки: | ГОСТ 30804.4.2-2013; ГОСТ 30804.4.3-2013; ГОСТ 30804.6.2-2013; ГОСТ 30805.22-2013; ГОСТ 31191.1; ГОСТ 31191.2; ГОСТ 31191.4-2006; ГОСТ 31192.1-2004; ГОСТ 34100.3; ГОСТ ИСО 5348;ГОСТ ISO 16063-1;ГОСТ ISO 16063-11;ГОСТ ISO 16063-12;ГОСТ ISO 16063-21-2013; ГОСТ Р 51317.4.6 |
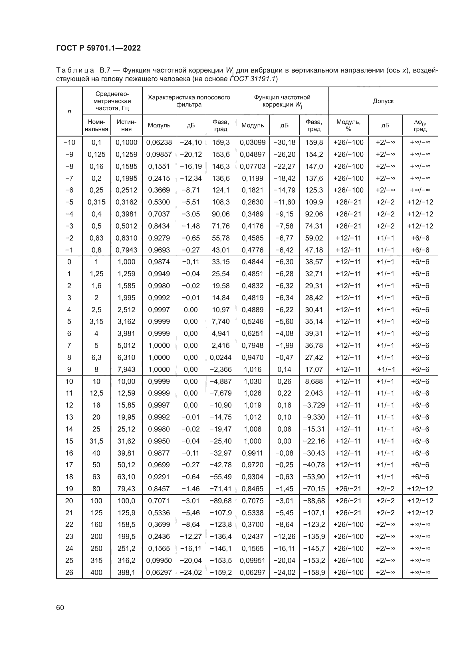
| Область применения: | Настоящий стандарт устанавливает требования к характеристикам средств измерений вибрации, применяемых в целях оценки ее воздействия на человека (виброметрам), а также методы определения этих характеристик в ходе испытаний (для целей утверждения типа или одобрения единичного образца, периодических испытаний) и проверки работоспособности средств измерений на месте применения с использованием вибрационного калибратора, включая требования к калибратору |
|
| Расположен в: |
|