| Обозначение: |  ГОСТ IEC 60320-1-2021 |
| Статус: | действующий |
| Название рус.: | Соединители приборные бытового и аналогичного назначения. Часть 1. Общие требования |
| Название англ.: | Appliance couplers for household and similar general purposes. Part 1. General requirements |
| Дата актуализации текста: | 01.07.2023 |
| Дата актуализации описания: | 01.07.2023 |
| Дата регистрации: | 30.06.2021 |
| Дата издания: | 03.08.2022 |
| Дата введения: | 01.01.2023 |
| Взамен: | ГОСТ 30851.1-2002 |
| Аутентичен стандартам: | IEC 60320-1(2015) |
| Нормативные ссылки: | IEC 60068-2-31;IEC 60068-2-60;IEC 60068-2-75;IEC 60227 (all parts);IEC 60245 (all parts);IEC 60320 (all parts);IEC 60320-3(2014);IEC 60417;IEC 60664-1(2007);IEC 60695-2-10(2000);IEC 60695-2-11(2000);IEC 60695-2-12(2000) ;IEC 60695-2-13(2000);IEC 60695-10-2;IEC 60730-2-11;IEC 60999-1;IEC 61032;IEC 61058 (all parts) |
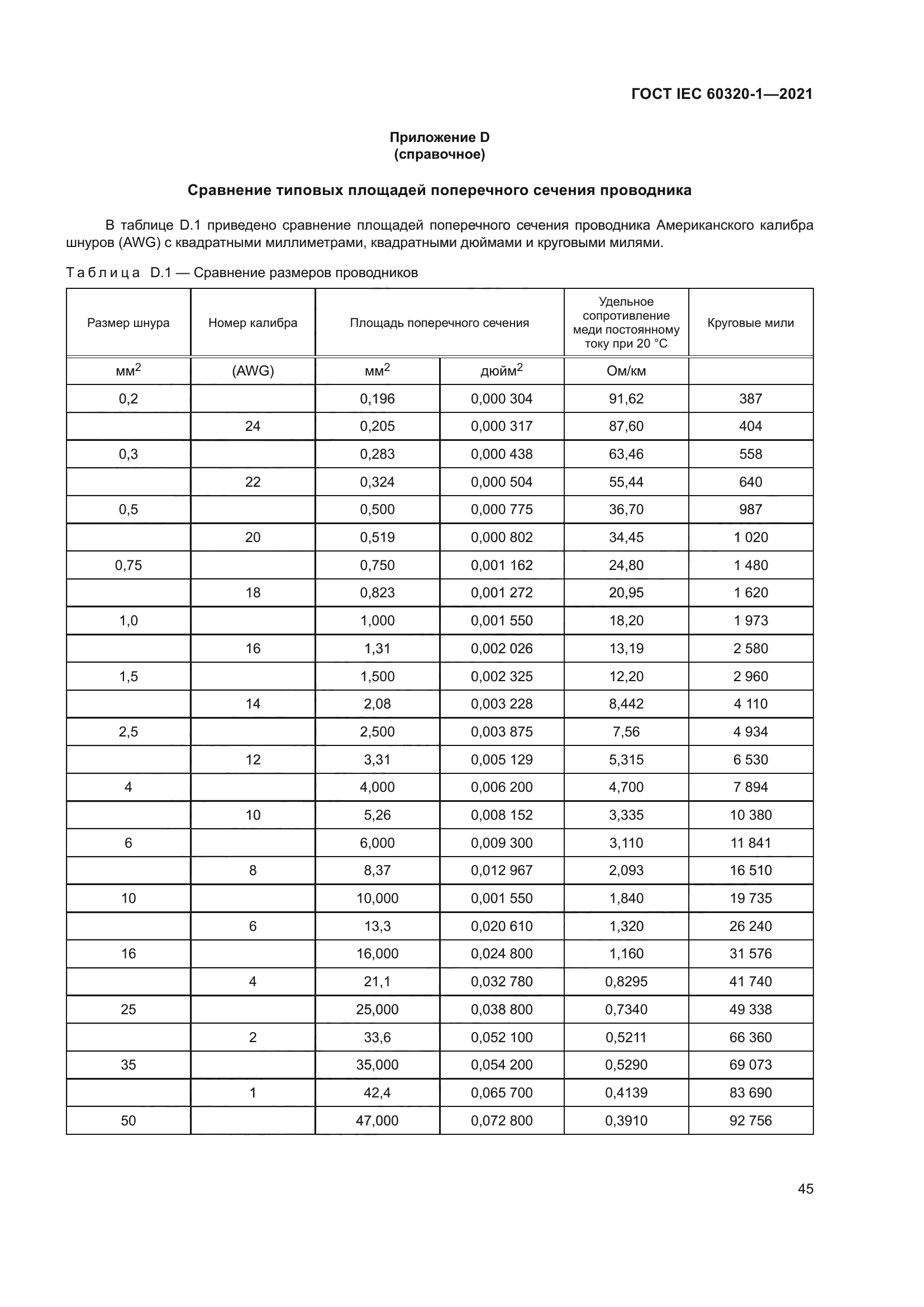
| Область применения: | Настоящий стандарт устанавливает общие требования к двухполюсным приборным соединителям с заземляющим контактом или без него для подключения электрических устройств бытового и аналогичного назначения к источнику питания. Настоящий стандарт также применяют для приборных вводов/приборных выводов, интегрированных или встроенных в устройства. Номинальное напряжение не превышает 250 В (a.c.), а номинальный ток — 16 А |
| Приложение №1: | Поправка к ГОСТ IEC 60320-1-2021 |
|
| Расположен в: |
|