| Обозначение: |  ГОСТ Р 59847-2021 |
| Статус: | действующий |
| Название рус.: | Информатизация здоровья. Идентификация лекарственных средств для медицинского применения. Элементы и структуры данных для уникальной идентификации и обмена фармацевтической информацией о регистрируемых лекарственных препаратах |
| Название англ.: | Health informatics. Identification of medicinal products for medical applications. Data elements and structures for the unique identification and exchange of regulated pharmaceutical product information |
| Дата актуализации текста: | 01.01.2023 |
| Дата актуализации описания: | 01.07.2023 |
| Дата издания: | 08.12.2021 |
| Дата введения: | 01.04.2022 |
| Взамен: | ГОСТ Р ИСО 11616-2014 |
| Содержит требования: | ISO 11616:2017 |
| Нормативные ссылки: | ГОСТ 7.67; ГОСТ Р 57309; ГОСТ Р 58504; ГОСТ Р ИСО 11238; ГОСТ Р ИСО 11239; ГОСТ Р ИСО 11240; ГОСТ Р ИСО 11615-2014; ГОСТ Р ИСО 21090; ГОСТ Р ИСО/МЭК 9834-8 |
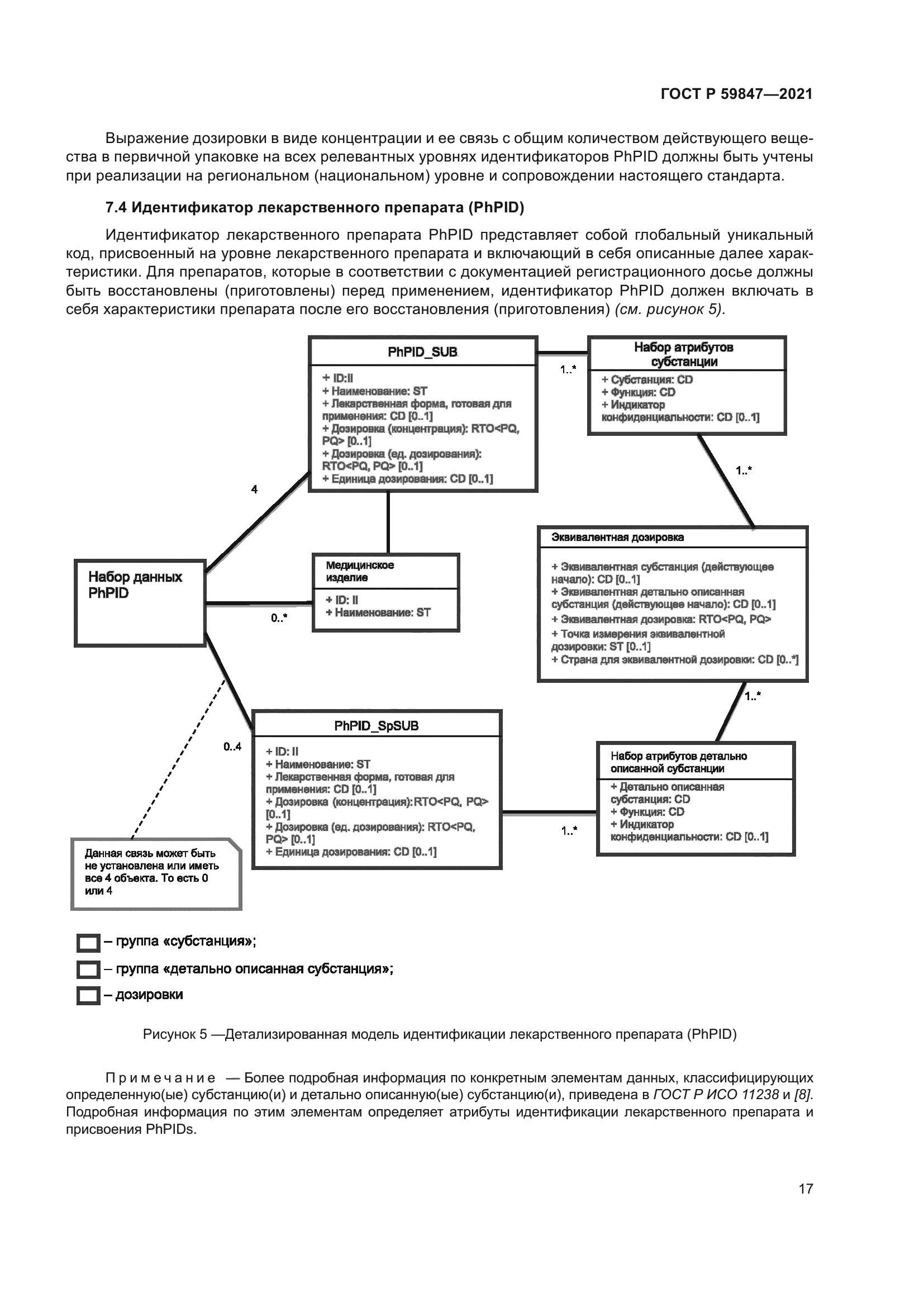
| Область применения: | Настоящий стандарт предназначен для описания определенных уровней информации, используемой для идентификации лекарственного средства или группы лекарственных средств. Стандарт содержит описание элементов и структур данных, а также взаимосвязей между ними, необходимые для уникальной идентификации регистрируемых лекарственных препаратов при обмене информацией. Также данную идентификацию следует использовать повсеместно на протяжении жизненного цикла продукта для фармаконадзора и другой регуляторной деятельности. Кроме того, настоящий стандарт применяется для обеспечения формирования структурированных данных о лекарственных препаратах для обмена информацией между различными участниками обращения лекарственных средств. Его применение обеспечивает интероперабельность и функциональную совместимость информационных систем как отправителя, так и получателя |
|
| Расположен в: |
|