| Обозначение: |  ГОСТ Р 59808-2021 |
| Статус: | действующий |
| Название рус.: | Телевидение вещательное цифровое. Технические требования к системе обновления программного обеспечения в системах цифрового телевизионного вещания |
| Название англ.: | Digital Video Broadcasting. Specification for System Software Update in DVB Systems |
| Дата актуализации текста: | 01.01.2023 |
| Дата актуализации описания: | 01.07.2023 |
| Дата издания: | 22.11.2021 |
| Дата введения: | 01.06.2022 |
| Нормативные ссылки: | ГОСТ Р 52210; ГОСТ Р 52591; ГОСТ Р 54456; ГОСТ Р 54994 |
| Область применения: | Настоящий стандарт определяет унифицированный механизм сигнализации о службе системы обновления программного обеспечения (СОПО) приемников цифрового телевизионного вещания (DVB) и способ передачи данных для такой службы, профили и типы служб СОПО приемников DVB, требования к взаимодействию операторов, предоставляющих услуги обновления программного обеспечения (ПО) приемников DVB и требования к взаимодействию приемников DVB с сетью оператора. Требования настоящего стандарта следует учитывать при разработке, изготовлении и эксплуатации приемных устройств DVB, а также при разработке, проектировании и эксплуатации ПО сетей DVB |
|
| Расположен в: |
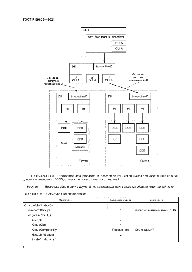
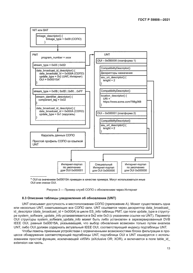
|