| Обозначение: |  ГОСТ Р 59782-2021 |
| Статус: | действующий |
| Название рус.: | Охрана окружающей среды. Биологическое разнообразие. Рекомендации по формированию и реализации коммерческой организацией программы по сохранению биологического разнообразия |
| Название англ.: | Environmental protection. Biological diversity. Recommendations for the formation and implementation of a program for the conservation of biological diversity by a commercial organization |
| Дата актуализации текста: | 01.01.2023 |
| Дата актуализации описания: | 01.07.2023 |
| Дата издания: | 08.11.2021 |
| Дата введения: | 01.04.2022 |
| Нормативные ссылки: | ГОСТ Р ИСО 14001; ГОСТ Р ИСО 14008; ГОСТ Р ИСО 26000; ГОСТ Р ИСО 28002; ГОСТ Р ИСО 37101; ГОСТ Р 57007; ГОСТ Р 58534 |
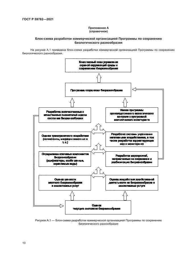
| Область применения: | Настоящий стандарт устанавливает рекомендации по формированию программы по сохранению биологического разнообразия коммерческой организацией (далее – Программа) с указанием основных требований, обеспечивающих ее правильное понимание и реализацию. Настоящий стандарт не распространяется на программы, связанные с обеспечением военной безопасности, влиянием оборонной продукции и ядерных объектов на биологическое разнообразие окружающей среды |
|
| Расположен в: |
|