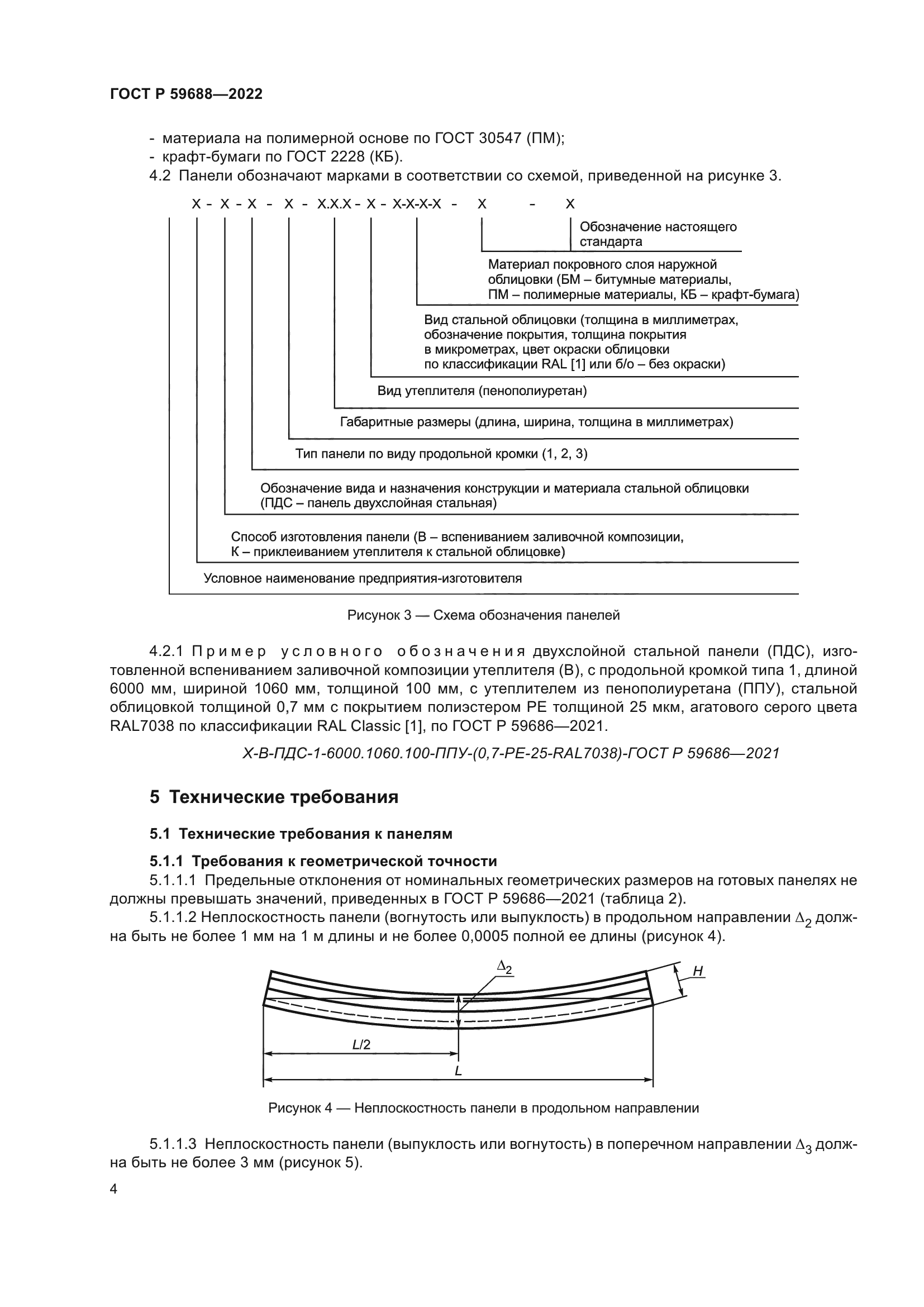
| Обозначение: |  ГОСТ Р 59688-2022 |
| Статус: | действующий |
| Название рус.: | Панели стальные двухслойные покрытий зданий с утеплителем из пенополиуретана. Технические условия |
| Название англ.: | Metal-faced roof panels for industrial buildings with polyurethane foam thermal insulation. Specifications |
| Дата актуализации текста: | 01.06.2022 |
| Дата актуализации описания: | 01.07.2023 |
| Дата издания: | 31.03.2022 |
| Дата введения: | 01.09.2022 |
| Нормативные ссылки: | ГОСТ 409; ГОСТ 2228; ГОСТ 7076; ГОСТ 14760; ГОСТ 17177; ГОСТ 24045; ГОСТ 30547; ГОСТ 32805; ГОСТ Р 50779.12; ГОСТ Р 56590; ГОСТ Р 59686; ГОСТ Р 59687;СП 28.13330.2017;СП 70.13330.2012 |
| Область применения: | Настоящий стандарт распространяется на стальные двухслойные панели с утеплителем из пенополиуретана и отделочным или гидроизоляционным слоем для покрытий производственных и складских зданий, а также холодильников, эксплуатируемых в неагрессивных, слабоагрессивных средах при температуре наружной поверхности панели от минус 65 °С до плюс 75 °С, температуре внутренней поверхности панели до плюс 30 °С, относительной влажности воздуха внутри помещений не более 60%, устанавливает требования для их изготовления |
|
| Расположен в: |
|