Информационная система
«Ёшкин Кот»

Скачать базу одним архивом
Скачать обновления
История создания базы
Карта сайта

Скачать ГОСТ Р ИСО 16079-2-2021 Контроль состояния и диагностика машин. Ветрогенераторы. Часть 2. Контроль состояния трансмиссии

Дата актуализации: 01.06.2025

ГОСТ Р ИСО 16079-2-2021

Контроль состояния и диагностика машин. Ветрогенераторы. Часть 2. Контроль состояния трансмиссии

Обозначение: ГОСТ Р ИСО 16079-2-2021
Статус:действующий
Название рус.:Контроль состояния и диагностика машин. Ветрогенераторы. Часть 2. Контроль состояния трансмиссии
Название англ.:Condition monitoring and diagnostics of machines. Wind turbines. Part 2. Monitoring the drivetrain
Дата актуализации текста:01.06.2022
Дата актуализации описания:01.07.2023
Дата издания:11.01.2022
Дата введения:01.06.2022
Аутентичен стандартам:ISO 16079-2:2020
Нормативные ссылки:ISO 2041;ISO 13372:2012
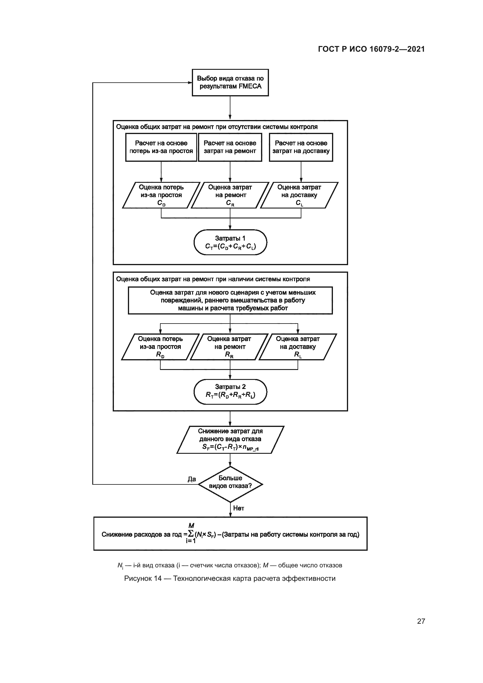
Область применения:Настоящий стандарт содержит руководство по применению систем контроля состояния ветрогенераторов, в первую очередь, их трансмиссии. Руководство включает в себя применение процедур FMSA, а также некоторые основанные на практическом опыте рекомендации в отношении систем, используемых для выявления отказов разных видов, диагностирования и прогнозирования состояния узлов трансмиссии ветрогенераторов, с коробкой передач и прямого привода, включая a) опорный подшипник; b) коробку передач (при наличии); c) электрогенератор (только механическую часть). Помимо основных узлов трансмиссии рассматриваются также ее другие части, такие как соединительная муфта и система смазки. В настоящем стандарте дан общий обзор важных аспектов контроля состояния и диагностирования ветрогенераторов и приведены ссылки на общие стандарты в области контроля состояния и диагностики, где эти аспекты рассматриваются более подробно
Расположен в:Государственные стандарты Общероссийский классификатор стандартов Энергетика и теплотехника Ветротурбинные энергетические системы
ГОСТ Р ИСО 16079-2-2021ГОСТ Р ИСО 16079-2-2021ГОСТ Р ИСО 16079-2-2021ГОСТ Р ИСО 16079-2-2021ГОСТ Р ИСО 16079-2-2021ГОСТ Р ИСО 16079-2-2021ГОСТ Р ИСО 16079-2-2021ГОСТ Р ИСО 16079-2-2021ГОСТ Р ИСО 16079-2-2021ГОСТ Р ИСО 16079-2-2021ГОСТ Р ИСО 16079-2-2021ГОСТ Р ИСО 16079-2-2021ГОСТ Р ИСО 16079-2-2021ГОСТ Р ИСО 16079-2-2021ГОСТ Р ИСО 16079-2-2021ГОСТ Р ИСО 16079-2-2021ГОСТ Р ИСО 16079-2-2021ГОСТ Р ИСО 16079-2-2021ГОСТ Р ИСО 16079-2-2021ГОСТ Р ИСО 16079-2-2021ГОСТ Р ИСО 16079-2-2021ГОСТ Р ИСО 16079-2-2021ГОСТ Р ИСО 16079-2-2021ГОСТ Р ИСО 16079-2-2021ГОСТ Р ИСО 16079-2-2021ГОСТ Р ИСО 16079-2-2021ГОСТ Р ИСО 16079-2-2021ГОСТ Р ИСО 16079-2-2021ГОСТ Р ИСО 16079-2-2021ГОСТ Р ИСО 16079-2-2021ГОСТ Р ИСО 16079-2-2021ГОСТ Р ИСО 16079-2-2021ГОСТ Р ИСО 16079-2-2021ГОСТ Р ИСО 16079-2-2021ГОСТ Р ИСО 16079-2-2021ГОСТ Р ИСО 16079-2-2021ГОСТ Р ИСО 16079-2-2021ГОСТ Р ИСО 16079-2-2021ГОСТ Р ИСО 16079-2-2021ГОСТ Р ИСО 16079-2-2021ГОСТ Р ИСО 16079-2-2021ГОСТ Р ИСО 16079-2-2021ГОСТ Р ИСО 16079-2-2021ГОСТ Р ИСО 16079-2-2021ГОСТ Р ИСО 16079-2-2021ГОСТ Р ИСО 16079-2-2021ГОСТ Р ИСО 16079-2-2021

© 2013 Ёшкин Кот :-) Карта сайта