| Обозначение: |  ГОСТ Р ИСО 16079-1-2021 |
| Статус: | действующий |
| Название рус.: | Контроль состояния и диагностика машин. Ветрогенераторы. Часть 1. Общее руководство |
| Название англ.: | Condition monitoring and diagnostics of machines. Wind turbines. Part 1. General guidelines |
| Дата актуализации текста: | 01.06.2022 |
| Дата актуализации описания: | 01.07.2023 |
| Дата издания: | 11.01.2022 |
| Дата введения: | 01.06.2022 |
| Аутентичен стандартам: | ISO 16079-1:2017 |
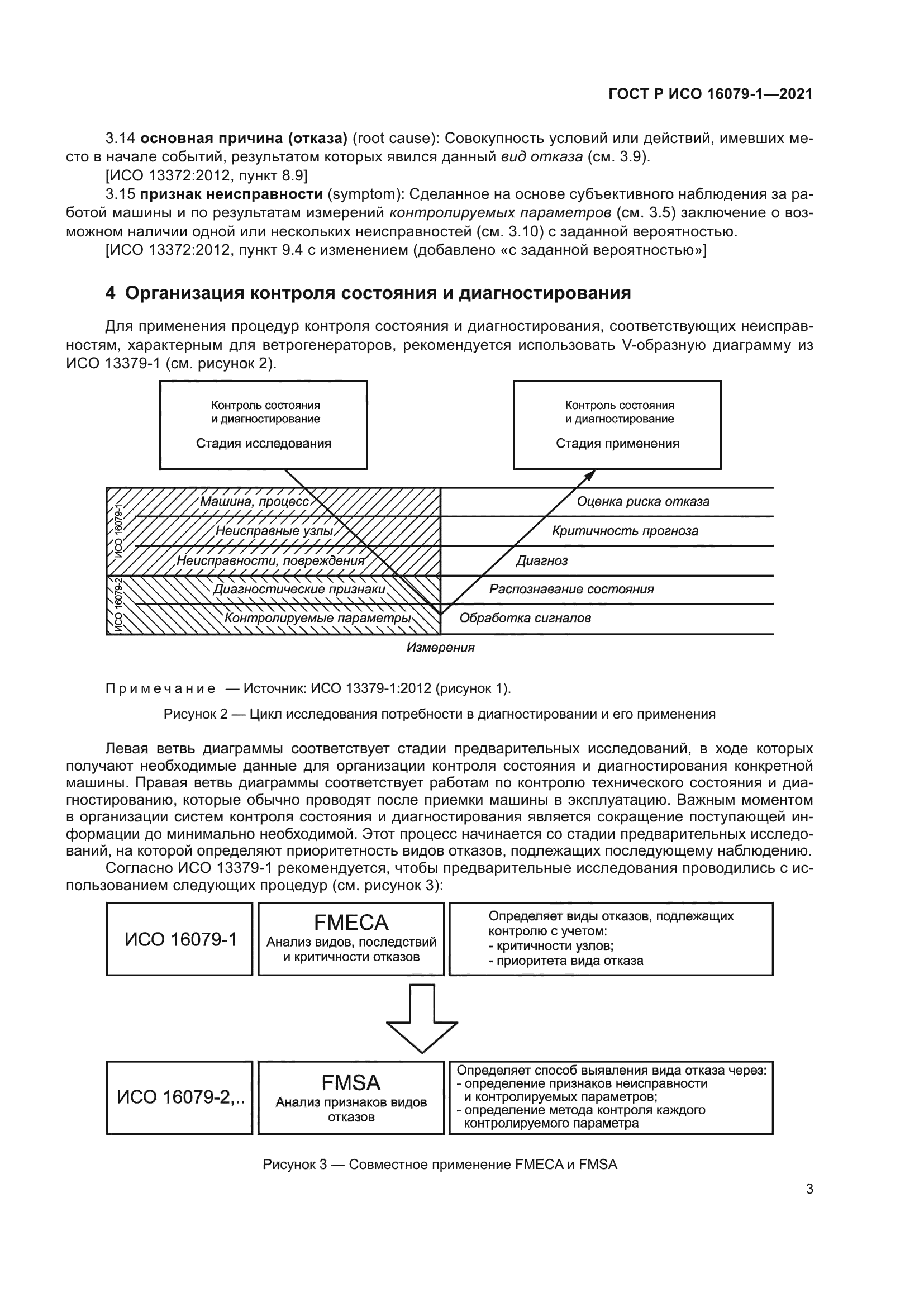
| Нормативные ссылки: | ISO 2041;ISO 13372:2012;ISO 13379-1:2012 |
| Область применения: | Настоящий стандарт содержит руководство по выбору методов контроля состояния, обнаружения неисправностей, диагностирования и прогнозирования состояния оборудования ветроэнергетических установок |
|
| Расположен в: |
|