Информационная система
«Ёшкин Кот»

Скачать базу одним архивом
Скачать обновления
История создания базы
Карта сайта

Скачать ГОСТ Р 59916-2021 Премии Правительства Российской Федерации в области качества. Модель конкурса и принципы проведения оценки

Дата актуализации: 01.06.2025

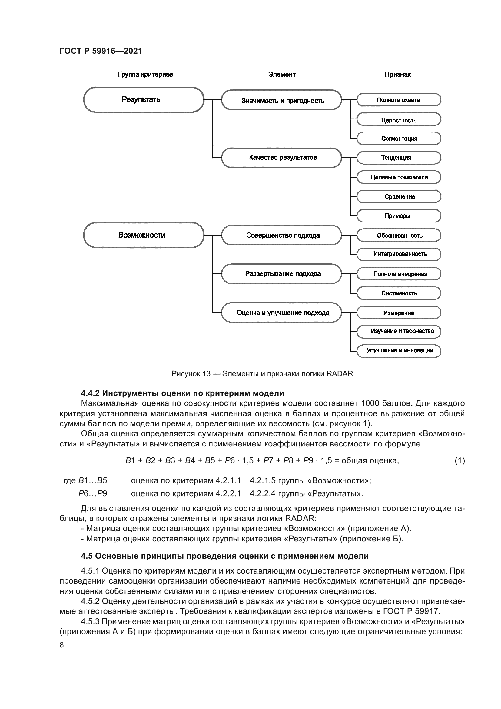
ГОСТ Р 59916-2021

Премии Правительства Российской Федерации в области качества. Модель конкурса и принципы проведения оценки

Обозначение: ГОСТ Р 59916-2021
Статус:действующий
Название рус.:Премии Правительства Российской Федерации в области качества. Модель конкурса и принципы проведения оценки
Название англ.:Russian government quality award. Competition model and evaluation principles
Дата актуализации текста:01.06.2022
Дата актуализации описания:01.07.2023
Дата издания:13.01.2022
Дата введения:01.04.2022
Нормативные ссылки:ГОСТ Р 59915;ГОСТ Р 59917;ГОСТ Р ИСО 9000
Область применения:Модель конкурса на соискание премий Правительства Российской Федерации в области качества (далее – модель) является комплексом взаимосвязанных критериев и принципов их применения, предназначенных: - для проведения процедуры самооценки деятельности организаций, принявших решение об участии в конкурсе; - для экспертной оценки деятельности организаций – участников в рамках проведения конкурса; - организациям, принявшим решение о совершенствовании своей деятельности на основе модели. Настоящий стандарт устанавливает структуру модели, формулировки наименований критериев и их составляющих, которые определяют области оценки, характеризующие те или иные виды деятельности организаций, и основные принципы применения критериев для оценки этих видов деятельности
Расположен в:Государственные стандарты Общероссийский классификатор стандартов Услуги. Организация фирм, управление и качество. Администрация. Транспорт. Социология. Качество Управление качеством и обеспечение качества
ГОСТ Р 59916-2021ГОСТ Р 59916-2021ГОСТ Р 59916-2021ГОСТ Р 59916-2021ГОСТ Р 59916-2021ГОСТ Р 59916-2021ГОСТ Р 59916-2021ГОСТ Р 59916-2021ГОСТ Р 59916-2021ГОСТ Р 59916-2021ГОСТ Р 59916-2021ГОСТ Р 59916-2021ГОСТ Р 59916-2021ГОСТ Р 59916-2021ГОСТ Р 59916-2021ГОСТ Р 59916-2021

© 2013 Ёшкин Кот :-) Карта сайта