| Обозначение: |  ГОСТ Р 59831-2021 |
| Статус: | действующий |
| Название рус.: | Дистанционное зондирование Земли из космоса. Данные дистанционного зондирования Земли из космоса. Перечень потребительских характеристик данных, получаемых с космических аппаратов радиолокационного наблюдения |
| Название англ.: | Remote sensing of the Earth from space. Data of remote sensing of the Earth from space. List of consumer characteristics of data from radar satellites |
| Дата актуализации текста: | 01.06.2022 |
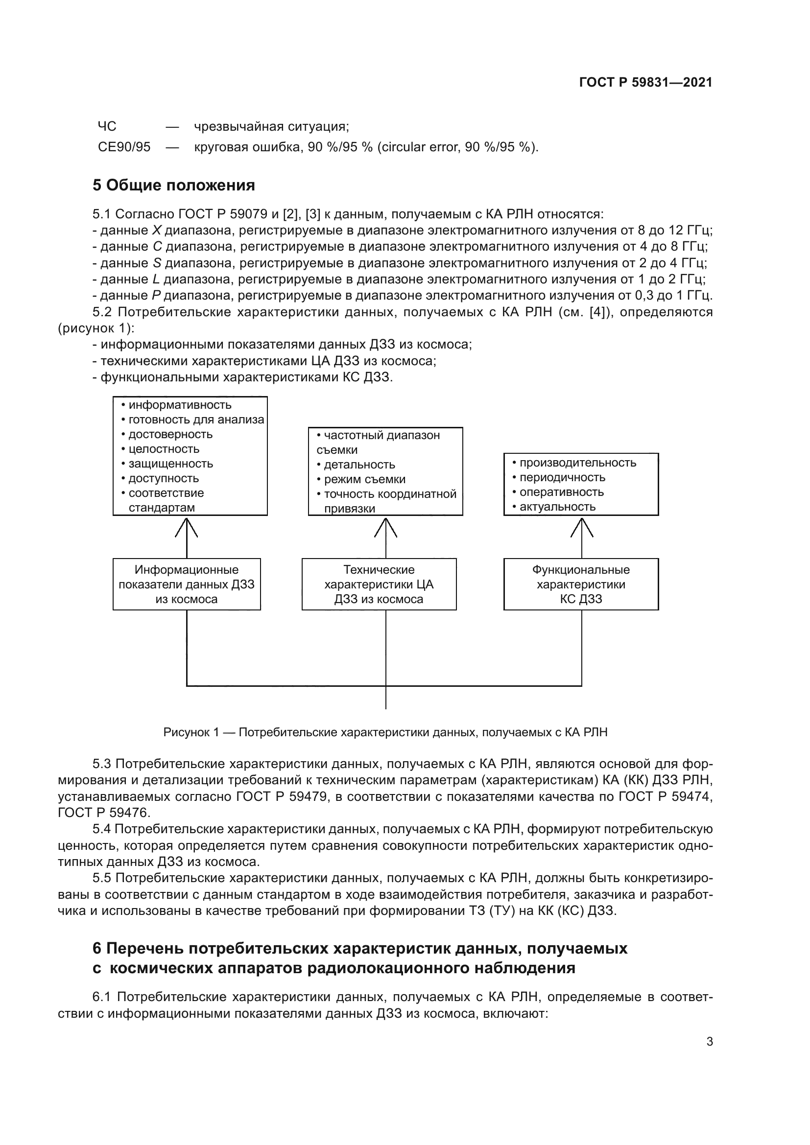
| Дата актуализации описания: | 01.07.2023 |
| Дата издания: | 30.12.2021 |
| Дата введения: | 01.05.2022 |
| Нормативные ссылки: | ГОСТ Р 53802; ГОСТ Р 59079; ГОСТ Р 59082; ГОСТ Р 59474; ГОСТ Р 59476; ГОСТ Р 59479; ГОСТ Р 59480; ГОСТ Р 59753; ГОСТ Р 59754 |
| Область применения: | Настоящий стандарт предназначен для применения организациями при формировании тактико-технических заданий на космические системы дистанционного зондирования Земли из космоса и их проектировании, а также при создании, распространении и использовании данных дистанционного зондирования Земли из космоса и продуктов их обработки. Настоящий стандарт устанавливает перечень потребительских характеристик данных дистанционного зондирования Земли, получаемых с космических аппаратов радиолокационного наблюдения, значения которых определяют конечные потребители данных и продуктов дистанционного зондирования Земли из космоса и учитывают при разработке и создании космических систем в целях повышения эффективности применения данных дистанционного зондирования Земли из космоса |
|
| Расположен в: |
|