| Обозначение: |  ГОСТ Р 113.38.03-2021 |
| Статус: | действующий |
| Название рус.: | Наилучшие доступные технологии. Системы автоматического контроля и учета выбросов загрязняющих веществ тепловых электростанций в атмосферный воздух. Основные требования |
| Название англ.: | The best available techniques. Systems for automatic control and accounting of emissions of pollutants from thermal electric power stations into air. General requirements |
| Дата актуализации текста: | 01.06.2022 |
| Дата актуализации описания: | 01.07.2023 |
| Дата издания: | 29.12.2021 |
| Дата введения: | 01.05.2022 |
| Нормативные ссылки: | ГОСТ 2.114; ГОСТ 19.201; ГОСТ 19.301; ГОСТ 34.602; ГОСТ 3619; ГОСТ Р 8.563; ГОСТ Р 8.596; ГОСТ Р 8.674; ГОСТ Р 50831 |
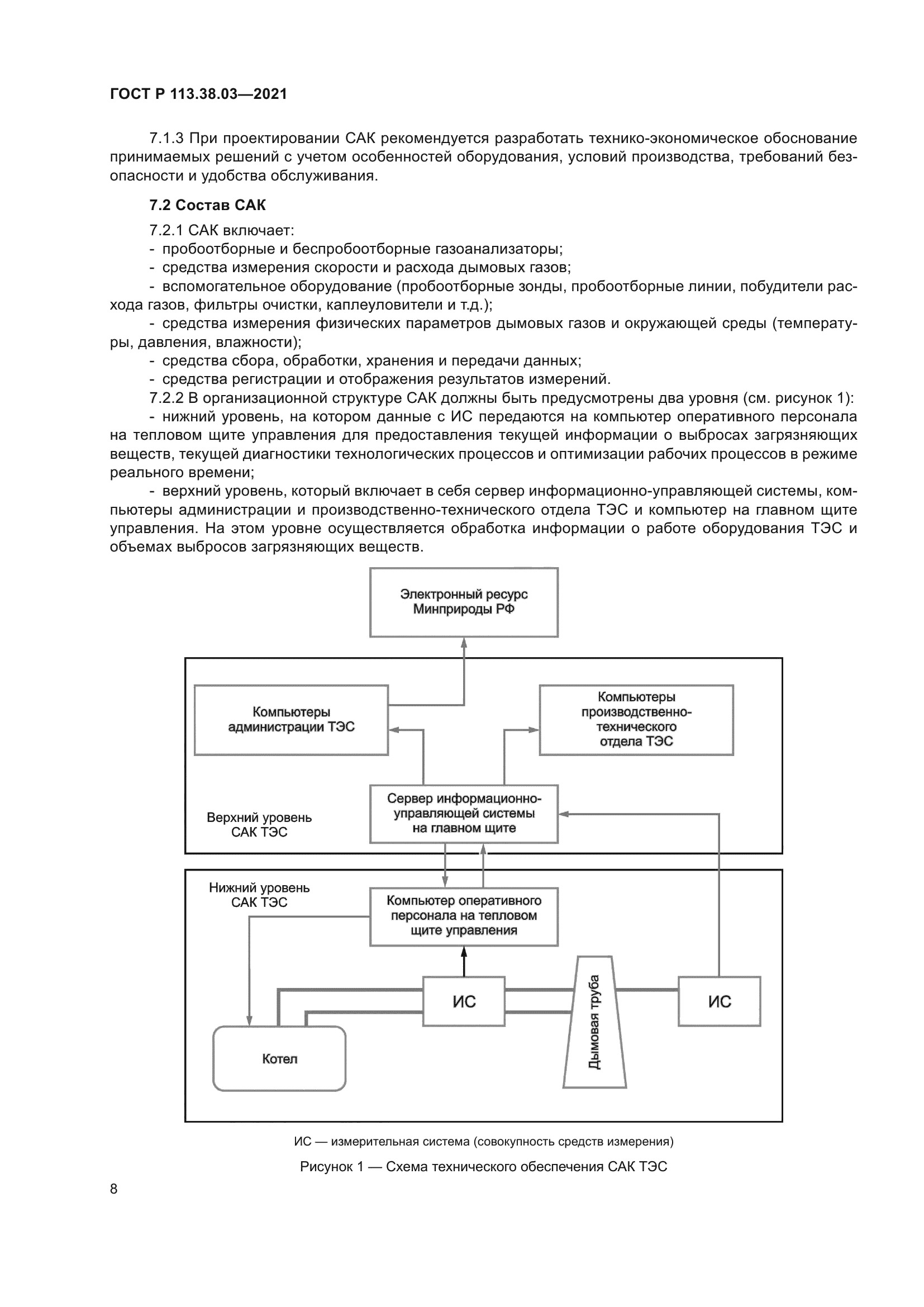
| Область применения: | Настоящий стандарт устанавливает основные требования к проектированию и эксплуатации систем автоматического контроля и учета объема и/или массы и концентрации выбросов загрязняющих веществ (САК) в дымовых газах энергетических установок тепловых электростанций (ТЭС) и котельных. Данные системы предназначены для непрерывного инструментального контроля выбросов загрязняющих веществ энергетических установок на органическом топливе (котлы и газотурбинные установки) и стационарных источников загрязнения атмосферного воздуха (дымовые трубы) тепловых электростанций и котельных. Требования настоящего стандарта предназначены для применения на ТЭС, отнесенных к предприятиям категории I по [1] и других ТЭС и котельных, планирующих внедрение САК |
|
| Расположен в: |
|