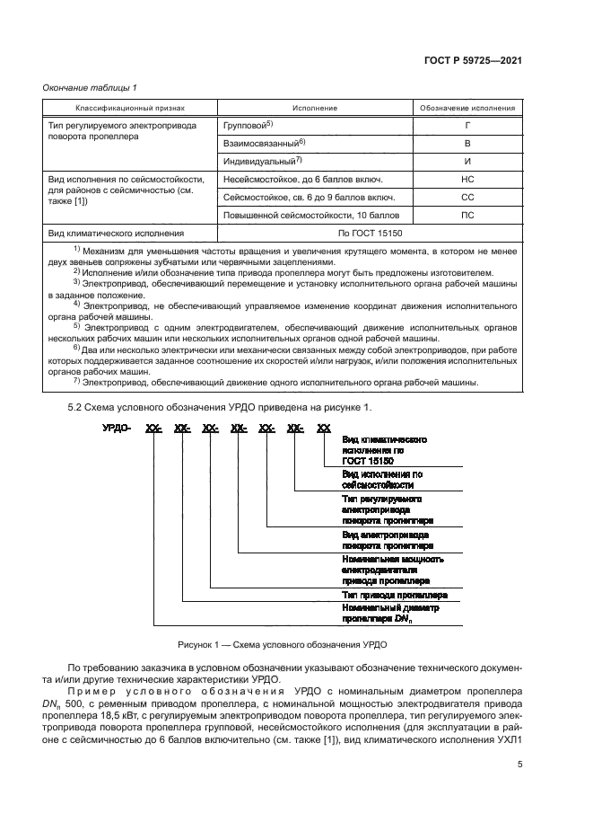
| ||||||||||||||||||||||||||||
Скачать ГОСТ Р 59725-2021 Магистральный трубопроводный транспорт нефти и нефтепродуктов. Оборудование резервуарное. Устройства размыва донных отложений пропеллерного типа. Общие технические условияДата актуализации: 01.06.2025
| ||||||||||||||||||||||||||||
| Обозначение: | ![]() ГОСТ Р 59725-2021 |
| Статус: | действующий |
| Название рус.: | Магистральный трубопроводный транспорт нефти и нефтепродуктов. Оборудование резервуарное. Устройства размыва донных отложений пропеллерного типа. Общие технические условия |
| Название англ.: | Trunk pipeline transport of oil and oil products. Storage tank equipment. Side entry mixers devices of impeller type. General specifications |
| Дата актуализации текста: | 01.06.2022 |
| Дата актуализации описания: | 01.07.2023 |
| Дата издания: | 18.10.2021 |
| Дата введения: | 01.02.2022 |
| Нормативные ссылки: | ГОСТ 2.503; ГОСТ 8.051; ГОСТ 8.549; ГОСТ 9.014; ГОСТ 9.039; ГОСТ 9.104; ГОСТ 9.402; ГОСТ 12.1.004; ГОСТ 12.1.005; ГОСТ 12.1.007; ГОСТ 12.1.010; ГОСТ 12.2.003; ГОСТ 12.2.007.0; ГОСТ 12.2.049; ГОСТ 12.3.002; ГОСТ 12.3.009; ГОСТ 12.3.020; ГОСТ 15.309; ГОСТ 27.002; ГОСТ 27.003; ГОСТ 5264; ГОСТ 8273; ГОСТ 9569; ГОСТ 14192; ГОСТ 14254; ГОСТ 14771; ГОСТ 15150; ГОСТ 16037; ГОСТ 16350; ГОСТ 21130; ГОСТ 21140; ГОСТ 21752; ГОСТ 23170; ГОСТ 24297; ГОСТ 27888; ГОСТ 28187; ГОСТ 30546.1; ГОСТ 30546.2; ГОСТ 30852.1; ГОСТ 30852.5; ГОСТ 30852.9; ГОСТ 30852.11; ГОСТ 30852.13; ГОСТ 31385; ГОСТ 31438.1; ГОСТ 31441.1; ГОСТ 31441.5; ГОСТ 31441.8; ГОСТ 31610.0; ГОСТ 33272;ГОСТ IEC 60034-1;ГОСТ IEC 60034-5;ГОСТ IEC 60034-14; ГОСТ Р 8.568; ГОСТ Р 15.301; ГОСТ Р 27.301; ГОСТ Р 51672; ГОСТ Р 56257; ГОСТ Р 57432 |
| Область применения: | Настоящий стандарт распространяется на устройства размыва донных отложений пропеллерного типа, предназначенные для вертикальных цилиндрических стальных резервуаров для нефти и нефтепродуктов, применяемых на объектах магистрального трубопровода для транспортирования нефти и нефтепродуктов |
| Расположен в: | |


















