| ||||||||||||||||||||||||||||
Скачать ГОСТ Р 59682-2021 Конструкции несущие базовые третьего уровня радиоэлектронных средств, устанавливаемых на колесных шасси. Конструкции и размерыДата актуализации: 01.06.2025
| ||||||||||||||||||||||||||||
| Обозначение: | ![]() ГОСТ Р 59682-2021 |
| Статус: | действующий |
| Название рус.: | Конструкции несущие базовые третьего уровня радиоэлектронных средств, устанавливаемых на колесных шасси. Конструкции и размеры |
| Название англ.: | Bearing base structures of the third level of radioelectronic means, mounted on wheeled chassis. Design and dimensions |
| Дата актуализации текста: | 01.06.2022 |
| Дата актуализации описания: | 01.07.2023 |
| Дата издания: | 30.09.2021 |
| Дата введения: | 01.12.2021 |
| Нормативные ссылки: | ГОСТ 9.014; ГОСТ 9.032; ГОСТ 9.301 ; ГОСТ 12.2.007.0; ГОСТ Р 51623; ГОСТ Р 51676; ГОСТ Р 52003; ГОСТ Р 52420; ГОСТ Р 58358.3; ГОСТ Р 56972; ГОСТ Р МЭК 60297-3-101; ГОСТ Р МЭК 60297-3-104 ; ГОСТ Р МЭК 60297-3-106; ГОСТ Р МЭК 60917-2-1; ГОСТ Р МЭК 60917-2-4; ГОСТ Р МЭК 61969-2 |
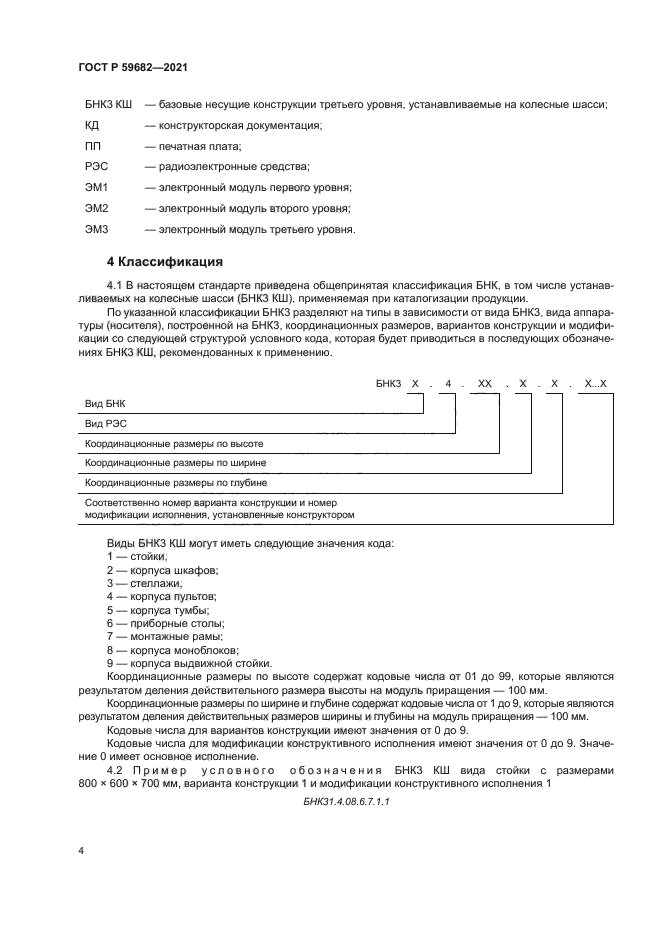
| Область применения: | Настоящий стандарт устанавливает конструкцию и основные размеры базовых несущих конструкций третьего уровня возимых радиоэлектронных средств, устанавливаемых на колесных шасси |
| Расположен в: | |






















