Информационная система
«Ёшкин Кот»

Скачать базу одним архивом
Скачать обновления
История создания базы
Карта сайта

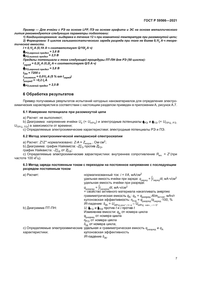
Скачать ГОСТ Р 59566-2021 Производство нанотехнологическое. Контроль основных характеристик. Часть 4-5. Наноматериалы катодные для устройств накопления электрической энергии. Определение электрохимических характеристик с применением трехэлектродной ячейки

Дата актуализации: 01.06.2025

ГОСТ Р 59566-2021

Производство нанотехнологическое. Контроль основных характеристик. Часть 4-5. Наноматериалы катодные для устройств накопления электрической энергии. Определение электрохимических характеристик с применением трехэлектродной ячейки

Обозначение: ГОСТ Р 59566-2021
Статус:действующий
Название рус.:Производство нанотехнологическое. Контроль основных характеристик. Часть 4-5. Наноматериалы катодные для устройств накопления электрической энергии. Определение электрохимических характеристик с применением трехэлектродной ячейки
Название англ.:Nanomanufacturing. Key control characteristics. Part 4-5. Cathode nanomaterials for nano-enabled electrical energy storage. Determination of electrochemical characteristics with 3-electrode cell
Дата актуализации текста:01.06.2022
Дата актуализации описания:01.06.2022
Дата издания:24.06.2021
Дата введения:01.03.2022
Аутентичен стандартам:IEC TS 62607-4-5(2017)
Нормативные ссылки:ISO/TS 80004-1
Область применения:Настоящий стандарт является частью серии стандартов МЭК 62607, распространяется на катодные наноматериалы, применяемые для изготовления электродов устройств накопления электрической энергии, и устанавливает методы испытаний для определения электрохимических характеристик с применением трехэлектродной ячейки. По результатам испытаний, проведенных данными методами, принимают решение о пригодности и выбирают катодный наноматериал, подходящий для применения. Настоящий стандарт устанавливает требования к испытуемому образцу, испытательному оборудованию, обработке результатов, а также содержит пример проведения испытаний
Расположен в:Государственные стандарты Общероссийский классификатор стандартов Математика. Естественные науки Физика. Химия
ГОСТ Р 59566-2021ГОСТ Р 59566-2021ГОСТ Р 59566-2021ГОСТ Р 59566-2021ГОСТ Р 59566-2021ГОСТ Р 59566-2021ГОСТ Р 59566-2021ГОСТ Р 59566-2021ГОСТ Р 59566-2021ГОСТ Р 59566-2021ГОСТ Р 59566-2021ГОСТ Р 59566-2021ГОСТ Р 59566-2021ГОСТ Р 59566-2021ГОСТ Р 59566-2021ГОСТ Р 59566-2021ГОСТ Р 59566-2021ГОСТ Р 59566-2021ГОСТ Р 59566-2021

© 2013 Ёшкин Кот :-) Карта сайта