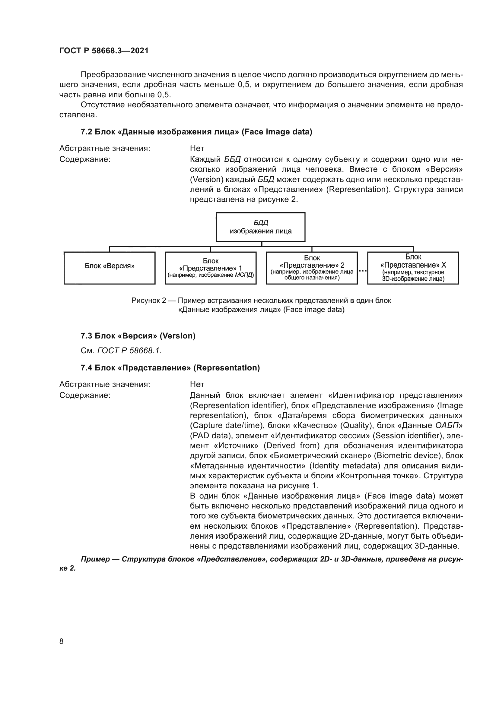
| Обозначение: |  ГОСТ Р 58668.3-2021 |
| Статус: | действующий |
| Название рус.: | Информационные технологии. Биометрия. Расширяемые форматы обмена биометрическими данными. Часть 3. Данные изображения лица |
| Название англ.: | Information technology. Biometrics. Extensible biometric data interchange formats. Part 3. Face image data |
| Дата актуализации текста: | 01.06.2022 |
| Дата актуализации описания: | 01.07.2023 |
| Дата издания: | 10.12.2021 |
| Дата введения: | 25.12.2021 |
| Содержит требования: | ISO/IEC 39794-5:2019 |
| Нормативные ссылки: | ГОСТ Р 58293; ГОСТ Р 58624.1; ГОСТ Р 58668.1;ГОСТ ISO/IEC 2382-37; ГОСТ Р ИСО/МЭК 8824-1; ГОСТ Р ИСО/МЭК 8825-1; ГОСТ Р ИСО/МЭК 19794-5; ГОСТ Р ИСО/МЭК 19795-1; ГОСТ Р ИСО/МЭК 29794-1 |
| Область применения: | Настоящий стандарт устанавливает: - расширяемые форматы обмена данными изображения лица: тегированный двоичный формат данных на основе расширяемой спецификации АСН.1 и формат текстовых данных на основе определения схемы XML. Форматы предназначены для хранения идентичной информации; - примеры содержания записей данных; - тестовые утверждения испытания на соответствие и методики испытания на соответствие, применимые к настоящему стандарту. Обеспечение защиты подлинности, целостности и конфиденциальности хранимых и передаваемых биометрических персональных данных выходит за рамки области применения настоящего стандарта |
| Приложение №1: | Поправка к ГОСТ Р 58668.3-2021 |
|
| Расположен в: |
|