| Обозначение: |  ГОСТ 11645-2021 |
| Статус: | действующий |
| Название рус.: | Пластмассы. Методы определения показателя текучести расплава термопластов |
| Название англ.: | Plastics. Methods for determination of flow index of thermoplastics melt |
| Дата актуализации текста: | 01.01.2023 |
| Дата актуализации описания: | 01.07.2023 |
| Дата регистрации: | 30.06.2021 |
| Дата издания: | 30.11.2021 |
| Дата введения: | 01.09.2022 |
| Взамен: | ГОСТ 11645-73 |
| Нормативные ссылки: | ГОСТ 2789; ГОСТ 2999; ГОСТ 12423; ГОСТ 33366.1 |
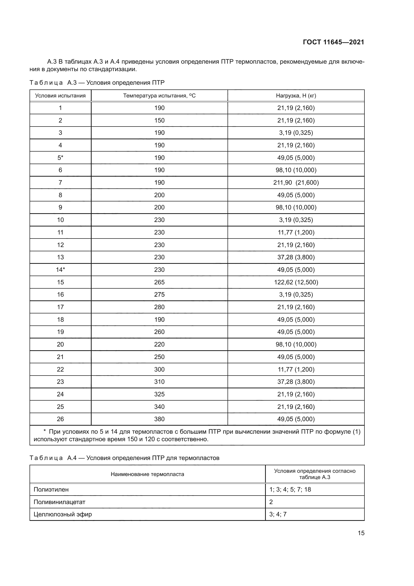
| Область применения: | Настоящий стандарт устанавливает два метода определения показателя текучести расплава термопластичных пластмасс (термопластов): метод А – по массе ПТР (MFR) и метод Б – по объему ПТРV (MVR) при заданных значениях температуры и нагрузки. Если такие указания отсутствуют, рекомендуется применять условия, приведен-ные в приложении А. В приложении Б приведены условия определения показателей текучести расплава термопластов, используемые в международных стандартах. Показатель текучести расплава по объему ПТРV рекомендуется применять при сравнении термопластов с разным содержанием наполнителей и сравнении термопластов с наполнителями и без |
| Приложение №1: | Поправка к ГОСТ 11645-2021 |
|
| Расположен в: |
|