| Обозначение: |  ГОСТ Р 59115.4-2021 |
| Статус: | действующий |
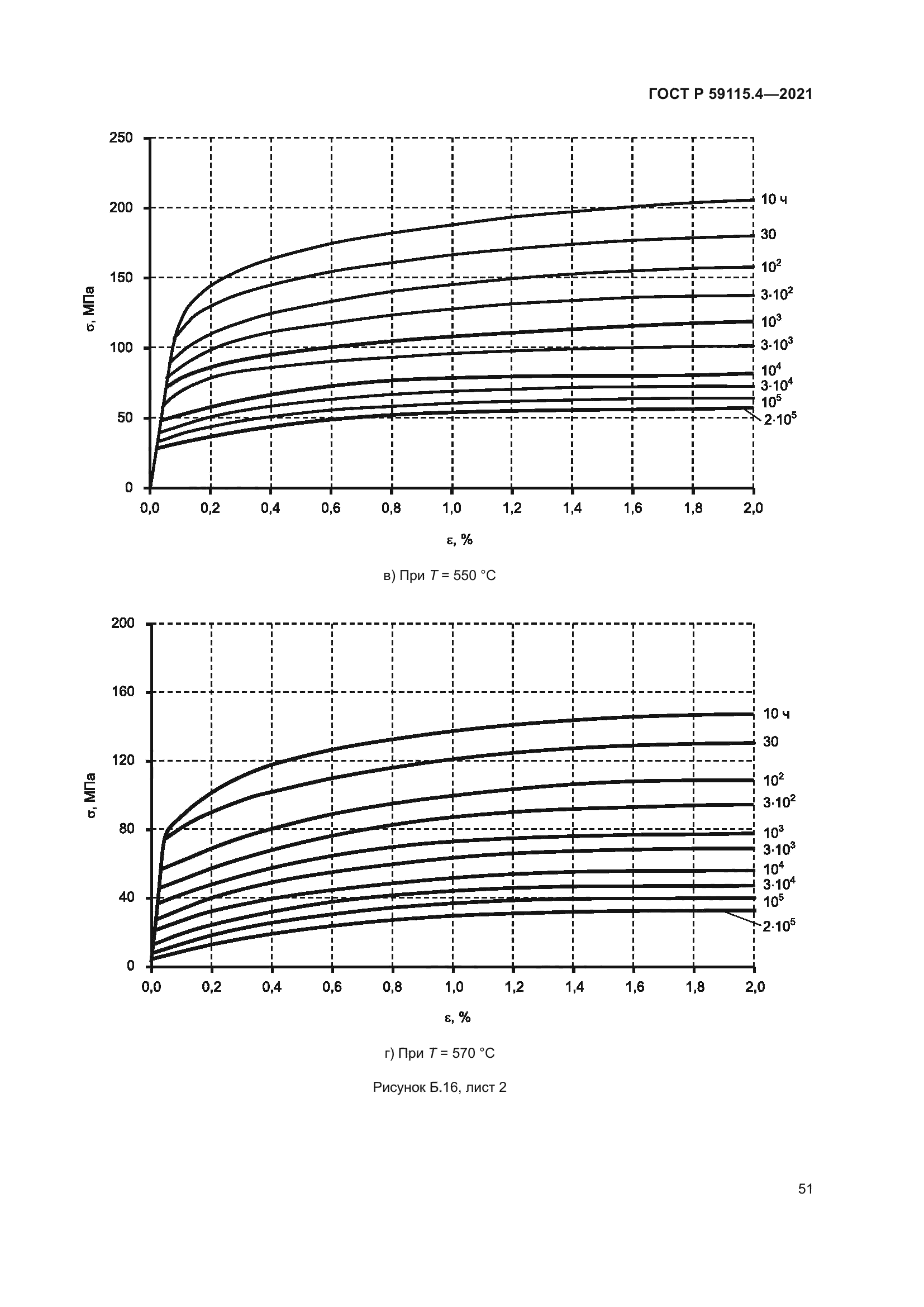
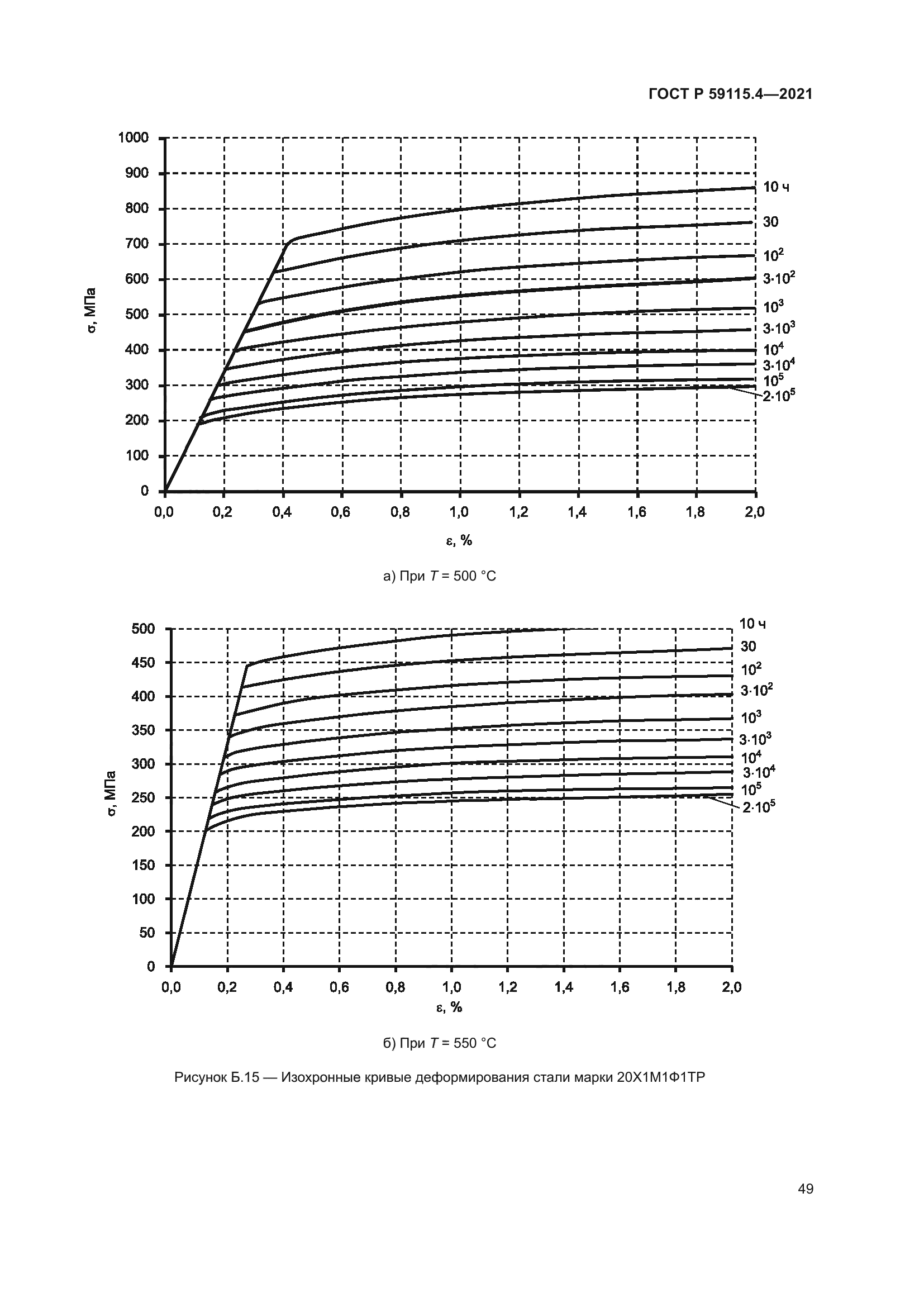
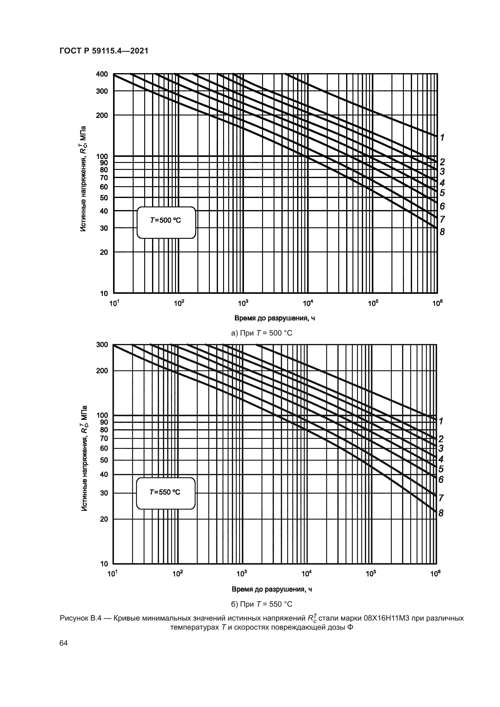
| Название рус.: | Обоснование прочности оборудования и трубопроводов атомных энергетических установок. Длительные механические свойства конструкционных материалов |
| Название англ.: | Rules for strength assessment of equipment and pipelines of nuclear power installations. Long-term mechanical properties of structural materials |
| Дата актуализации текста: | 01.01.2022 |
| Дата актуализации описания: | 01.07.2023 |
| Дата издания: | 01.12.2021 |
| Дата введения: | 01.10.2022 |
| Нормативные ссылки: | ГОСТ 3248; ГОСТ 10145; ГОСТ 20700-75;ГОСТ ISO/IEC 17025; ГОСТ Р 8.568; ГОСТ Р 8.932; ГОСТ Р 50.04.01; ГОСТ Р 50.05.11; ГОСТ Р 53845; ГОСТ Р 59115.1; ГОСТ Р 59115.3; ГОСТ Р 59115.5; ГОСТ Р 59115.8; ГОСТ Р 59115.9; ГОСТ Р 59115.10; ГОСТ Р 59115.11; ГОСТ Р 59115.12 |
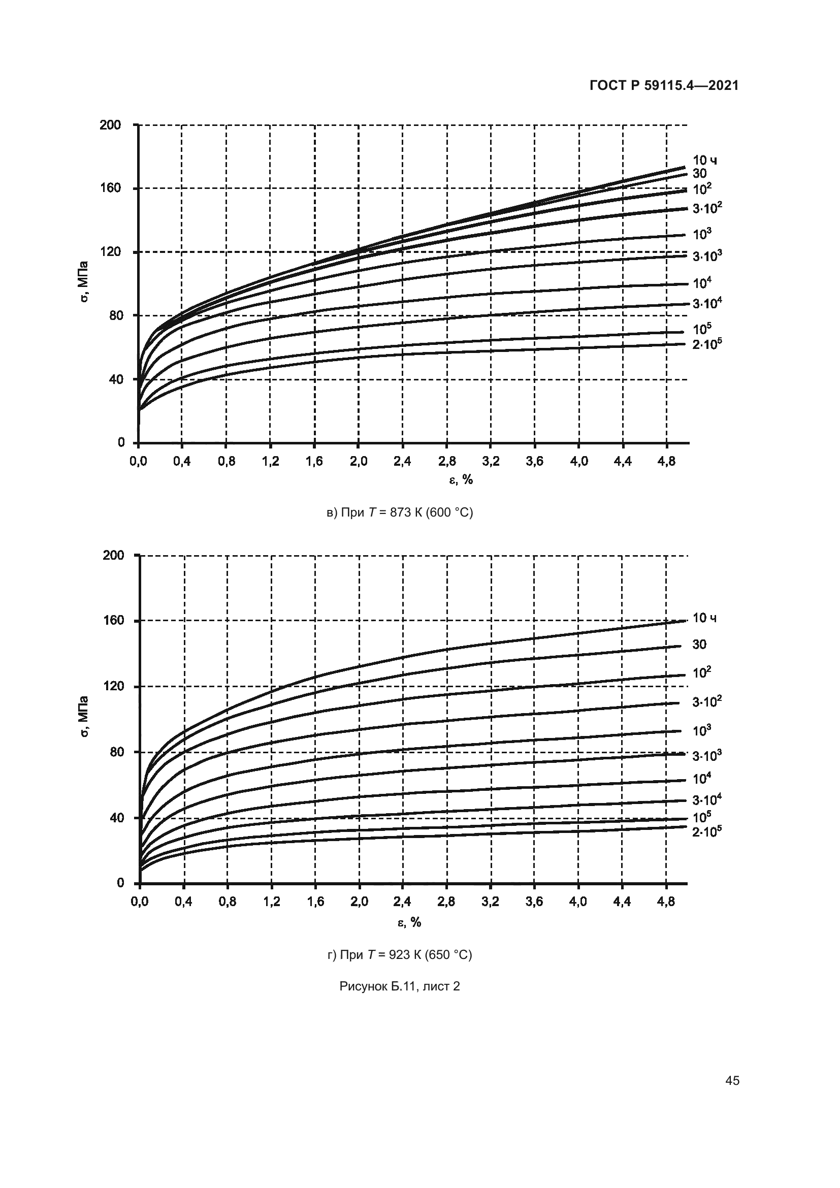
| Область применения: | Настоящий стандарт устанавливает значения характеристик длительных механических свойств конструкционных материалов (далее материалов), используемых при проведении расчетов на прочность оборудования и трубопроводов атомных энергетических установок, на которые распространяется действие федеральных норм и правил в области использования атомной энергии [1]. Настоящий стандарт предназначен для применения при обосновании прочности оборудования и трубопроводов атомных энергетических установок |
|
| Расположен в: |
|