| ||||||||||||||||||||||||||||||||||||||||||||||||||
Скачать ГОСТ 9559-2021 Листы свинцовые. Технические условияДата актуализации: 01.06.2025
| ||||||||||||||||||||||||||||||||||||||||||||||||||
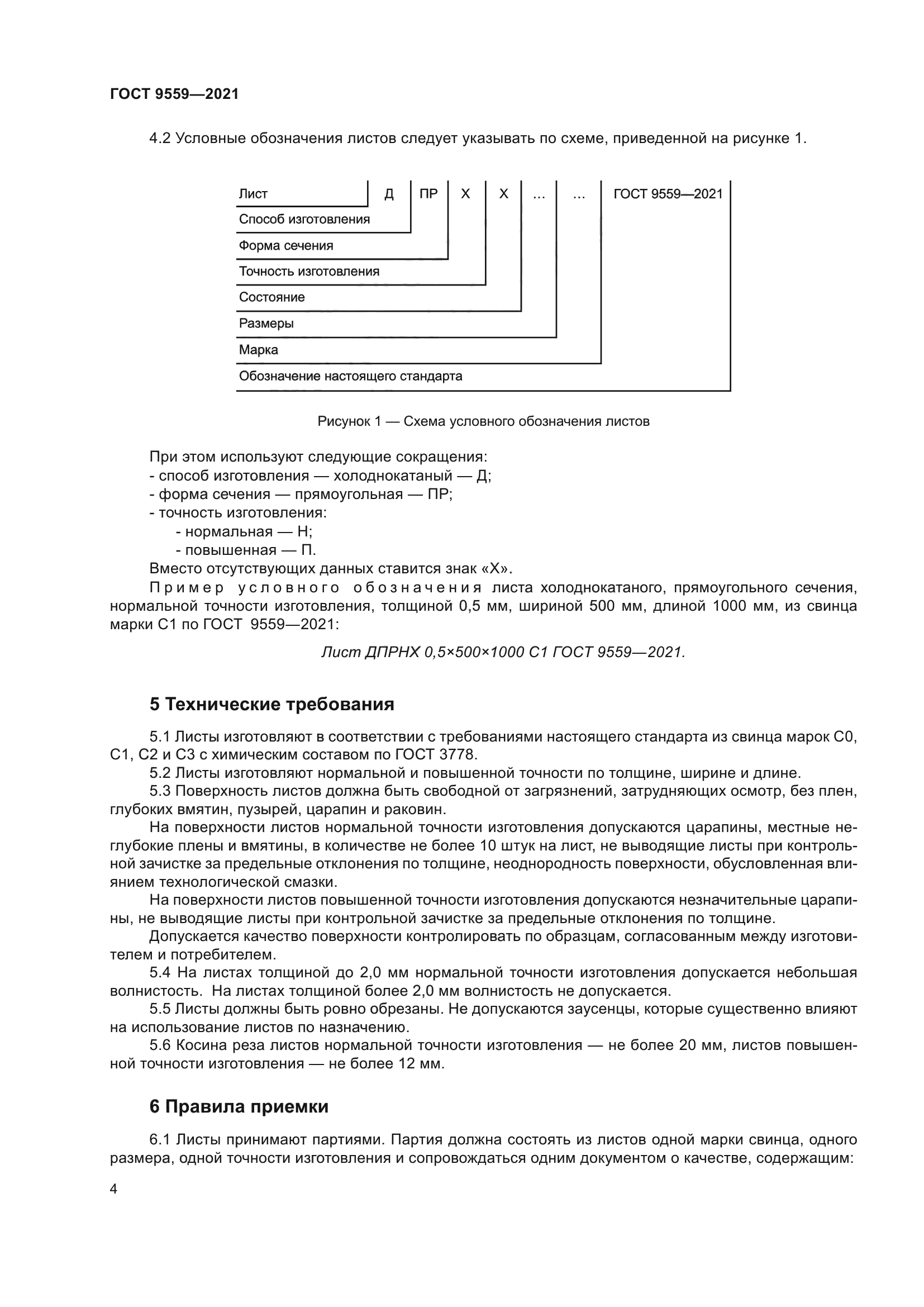
| Обозначение: | ![]() ГОСТ 9559-2021 |
| Статус: | действующий |
| Название рус.: | Листы свинцовые. Технические условия |
| Название англ.: | Lead sheets. Specifications |
| Дата актуализации текста: | 01.01.2023 |
| Дата актуализации описания: | 01.07.2023 |
| Дата регистрации: | 26.08.2021 |
| Дата издания: | 02.09.2022 |
| Дата введения: | 01.03.2022 |
| Взамен: | ГОСТ 9559-89 |
| Нормативные ссылки: | ГОСТ 166; ГОСТ 427; ГОСТ 515; ГОСТ 2697; ГОСТ 2991; ГОСТ 3282; ГОСТ 3560; ГОСТ 3778; ГОСТ 6507; ГОСТ 7502; ГОСТ 8857; ГОСТ 9569; ГОСТ 10198; ГОСТ 10354; ГОСТ 14192; ГОСТ 15102; ГОСТ 15846; ГОСТ 18242; ГОСТ Р ИСО 2859-1-2007; ГОСТ 18321; ГОСТ Р 50779.12-2021; ГОСТ 18477; ГОСТ 20435; ГОСТ 20580.0; ГОСТ 20580.1; ГОСТ 20580.2; ГОСТ 20580.3; ГОСТ 20580.4; ГОСТ 20580.5; ГОСТ 20580.6; ГОСТ 20580.7; ГОСТ 20580.8; ГОСТ 21140; ГОСТ 21650; ГОСТ 22225; ГОСТ 24231; ГОСТ 24597; ГОСТ 24634; ГОСТ 26653; ГОСТ 26663; ГОСТ 26877; ГОСТ 33757;СТ СЭВ 543 |
| Область применения: | Настоящий стандарт распространяется на холоднокатаные свинцовые листы (далее – листы), применяемые в химическом машиностроении и других отраслях промышленности |
| Приложение №1: | Поправка к ГОСТ 9559-2021 |
| Приложение №2: | Поправка к ГОСТ 9559-2021 |
| Приложение №3: | Поправка к ГОСТ 9559-2021 |
| Расположен в: | |













| Обозначение: | Поправка к ГОСТ 9559-2021 |
| Дата введения: | 14.03.2022 |

| Обозначение: | Поправка к ГОСТ 9559-2021 |
| Дата введения: | 24.11.2022 |

| Обозначение: | Поправка к ГОСТ 9559-2021 |
| Дата введения: | 05.08.2022 |
