| Обозначение: |  ГОСТ Р 59429-2021 |
| Статус: | действующий |
| Название рус.: | Устройства внутрикорпусные водо-водяного энергетического реактора. Расчет на прочность на стадии проектирования |
| Название англ.: | Pressure vessel internals of water-water power reactor. Strength analysis at the design stage |
| Дата актуализации текста: | 01.01.2022 |
| Дата актуализации описания: | 01.07.2023 |
| Дата издания: | 30.11.2021 |
| Дата введения: | 01.01.2022 |
| Нормативные ссылки: | ГОСТ Р 8.985; ГОСТ Р 50.05.08; ГОСТ Р 59115.1; ГОСТ Р 59430 |
| Область применения: | Настоящий стандарт устанавливает требования к расчетному обоснованию прочности на стадии проектирования внутрикорпусных устройств водо-водяных энергетических реакторов, на которые распространяется действие федеральных норм и правил в области использования атомной энергии [1], с учетом изменения свойств их материалов под действием эксплуатационных факторов |
|
| Расположен в: |
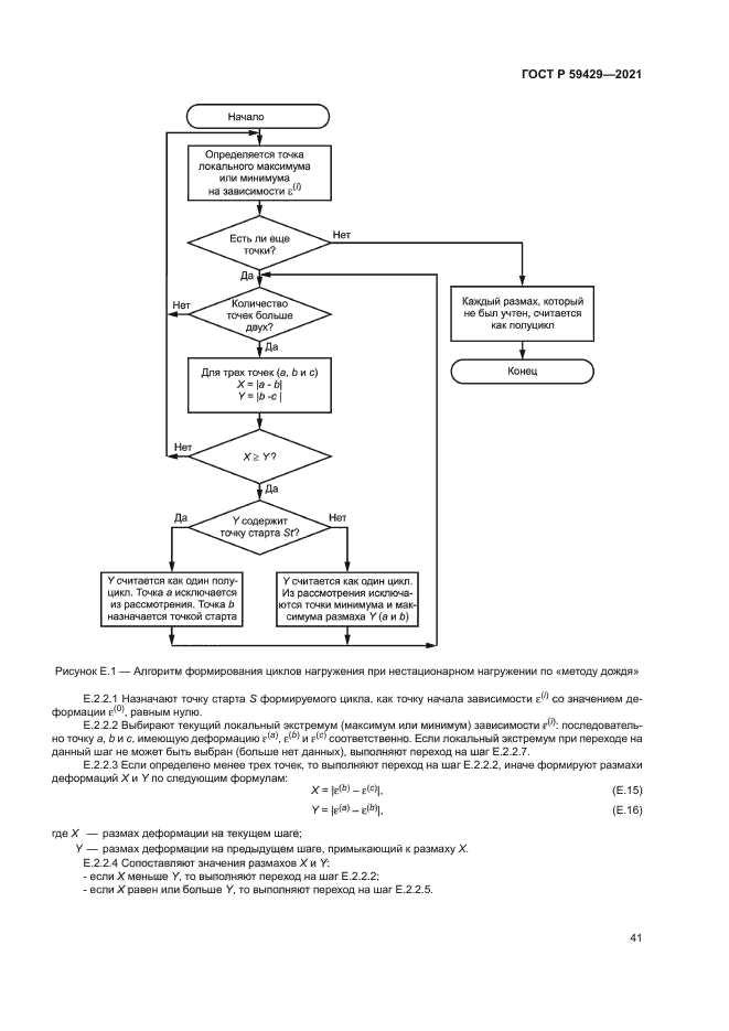
|