| ||||||||||||||||||||||||||||||
Скачать ГОСТ Р 55062-2021 Информационные технологии. Интероперабельность. Основные положенияДата актуализации: 01.06.2025
| ||||||||||||||||||||||||||||||
| Обозначение: | ![]() ГОСТ Р 55062-2021 |
| Статус: | действующий |
| Название рус.: | Информационные технологии. Интероперабельность. Основные положения |
| Название англ.: | Information technologies. Industrial automation systems and integration. Interoperability. Basic principles |
| Дата актуализации текста: | 01.01.2022 |
| Дата актуализации описания: | 01.07.2023 |
| Дата издания: | 16.11.2021 |
| Дата введения: | 30.04.2022 |
| Взамен: | ГОСТ Р 55062-2012 |
| Нормативные ссылки: | ГОСТ Р 1.12; ГОСТ Р ИСО/МЭК 7498-1; ГОСТ Р ИСО/МЭК 25010 |
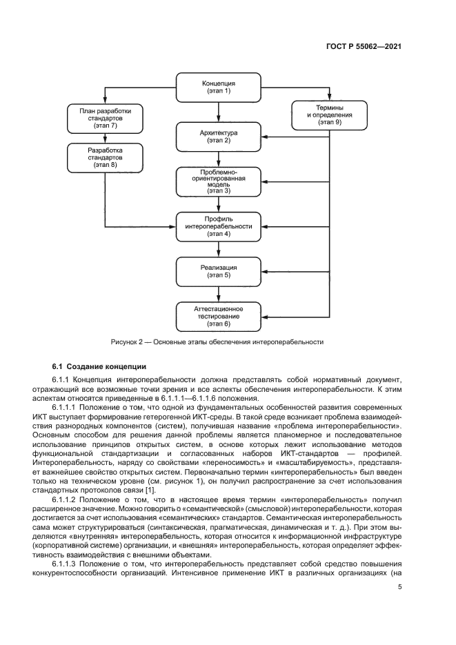
| Область применения: | Настоящий стандарт определяет: - основные понятия, связанные с понятием «интероперабельность»; - эталонную модель интероперабельности; - единый подход (методику) к обеспечению интероперабельности информационных систем широкого класса, представляющую метатехнологию; - основные и вспомогательные этапы по достижению интероперабельности. Настоящий стандарт предназначен для заказчиков, поставщиков, разработчиков, потребителей, а также персонала, сопровождающего информационные системы и осуществляющего программное обеспечение и услуги |
| Расположен в: | |











