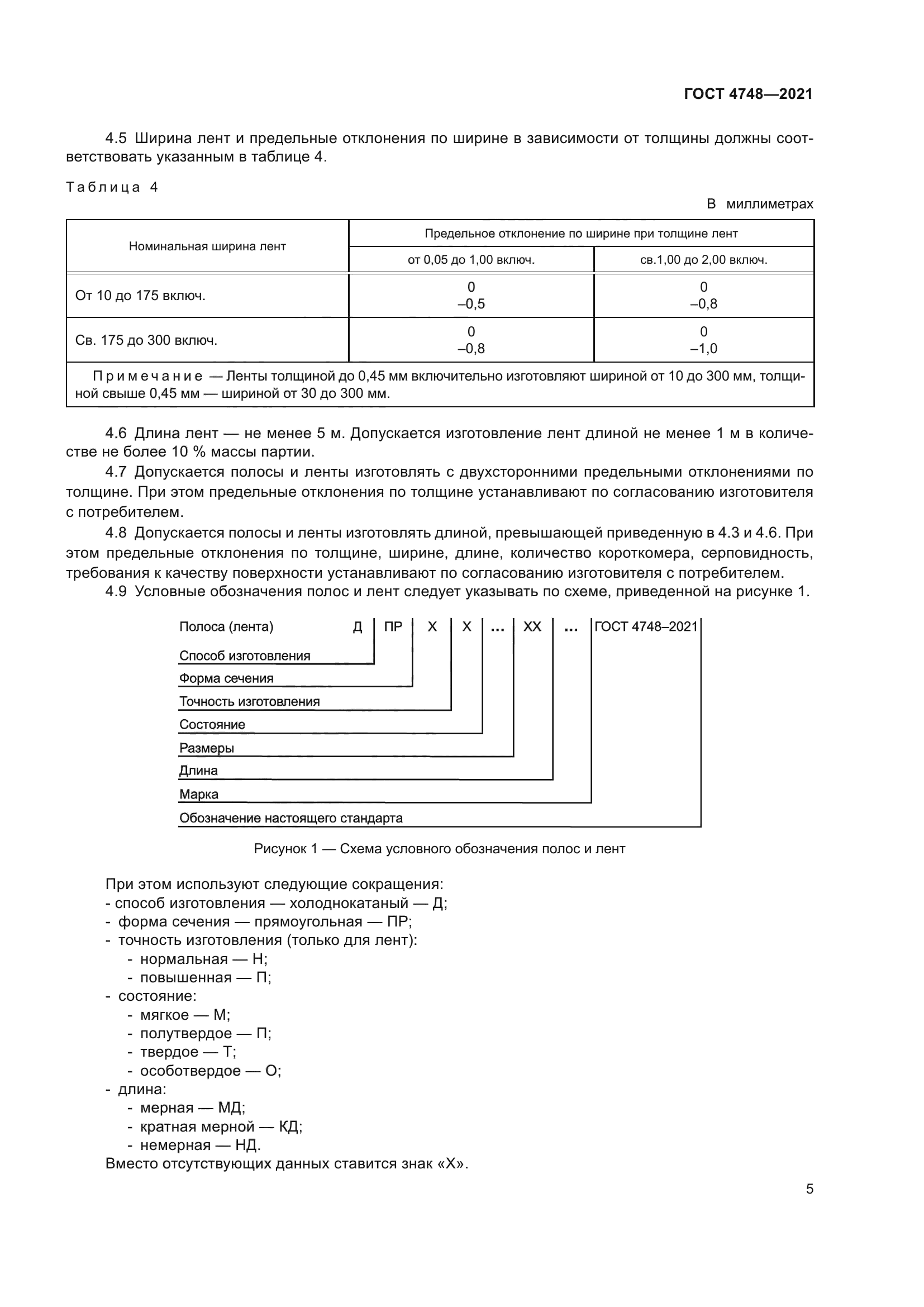
| ||||||||||||
Скачать ГОСТ 4748-2021 Полосы и ленты из кремнисто-марганцевой бронзы. Технические условияДата актуализации: 01.06.2025
|
| Обозначение: | Поправка к ГОСТ 4748-2021 |
| Дата введения: | 09.02.2022 |

| Обозначение: | Поправка к ГОСТ 4748-2021 |
| Дата введения: | 05.08.2022 |
