| Обозначение: |  ГОСТ Р 58918-2021 |
| Статус: | действующий |
| Название рус.: | Технологический инжиниринг и проектирование. Технологическая документация. Общие требования к составу |
| Название англ.: | Engineering (technology and design). Technological documentation. General requirements for the structure |
| Дата актуализации текста: | 01.01.2022 |
| Дата актуализации описания: | 01.07.2023 |
| Дата издания: | 13.10.2021 |
| Дата введения: | 01.01.2022 |
| Нормативные ссылки: | ГОСТ 23004; ГОСТ Р 51901.1; ГОСТ Р 57194.3; ГОСТ Р 58916; ГОСТ Р 58919; ГОСТ Р 58920 |
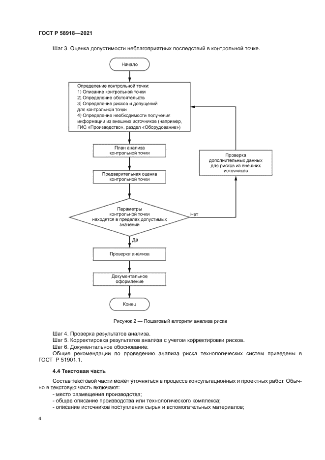
| Область применения: | Настоящий стандарт устанавливает общие требования к составу технологической документации, которая может быть разработана при оказании следующих услуг в сфере технологического инжиниринга: - предпроектные работы; - технологическое проектирование; - технологический аудит |
|
| Расположен в: |
|