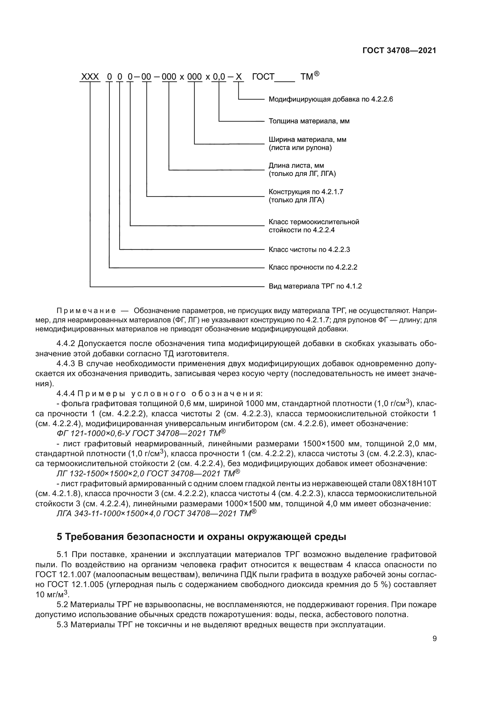
| ||||||||||||||||||||||||||||||||||||||||||||||||
 Скачать ГОСТ 34708-2021 Арматура трубопроводная. Уплотнительные материалы на основе терморасширенного графита. Общие технические условияДата актуализации: 01.06.2025
 | ||||||||||||||||||||||||||||||||||||||||||||||||
| Обозначение: | ![]()   ГОСТ 34708-2021 | 
| Статус: | действующий | 
| Название рус.: | Арматура трубопроводная. Уплотнительные материалы на основе терморасширенного графита. Общие технические условия | 
| Название англ.: | Pipeline valves. Sealing materials based on thermally expanded graphite. General specifications | 
| Дата актуализации текста: | 01.01.2024 | 
| Дата актуализации описания: | 01.07.2023 | 
| Дата регистрации: | 29.01.2021 | 
| Дата издания: | 01.07.2021 | 
| Дата введения: | 01.12.2021 | 
| Нормативные ссылки: |  ГОСТ 8.315-97; ГОСТ 12.1.005-88; ГОСТ 12.1.007-76; ГОСТ 15.309-98; ГОСТ 166-89; ГОСТ 380-2005; ГОСТ 427-75; ГОСТ 450-77; ГОСТ 492-2006; ГОСТ 1050-2013; ГОСТ 1770-74; ГОСТ 2059-95; ГОСТ 3956-76; ГОСТ 4233-77; ГОСТ 4245-72; ГОСТ 4328-77; ГОСТ 4386-89; ГОСТ 4461-77; ГОСТ 4520-78; ГОСТ 4784-97; ГОСТ 4919.1-2016; ГОСТ 4986-79; ГОСТ 5583-78; ГОСТ 5632-2014; ГОСТ 6507-90; ГОСТ 6709-72; ГОСТ 7502-98; ГОСТ 8295-73; ГОСТ 8984-75; ГОСТ 9147-80; ГОСТ 10929-76; ГОСТ 15150-69; ГОСТ 15527-2004; ГОСТ 17818.4-90; ГОСТ 17818.6-90; ГОСТ 17818.17-90; ГОСТ 17818.18-90; ГОСТ 19807-91; ГОСТ 19908-90; ГОСТ 22030-91; ГОСТ 22692-77; ГОСТ 23170-78; ГОСТ 23932-90; ГОСТ 24036-80; ГОСТ 24297-2013; ГОСТ 24363-80; ГОСТ 24555-81; ГОСТ 25336-82; ГОСТ 29169-91; ГОСТ 29227-91; ГОСТ 29252-91; ГОСТ 30684-2000; ГОСТ 31378-2009; ГОСТ 31867-2012; ГОСТ 32465-2013; ГОСТ 32569-2013; ГОСТ 33784-2016;ГОСТ EN 826-2011;ГОСТ ISO Guide 31-2014;ГОСТ OIML R 76-1-2011 | 
| Область применения: | Настоящий стандарт распространяется на материалы на основе терморасширенного графита (материалы ТРГ): графитовую фольгу и листовые графитовые материалы (армированные и неармированные), используемые для изготовления уплотнений, предназначенных для герметизации подвижных, неподвижных, бессланцевых соединений арматуры, трубопроводов, сосудов, аппаратов, насосов и другого оборудования, применяемых в тепловой и атомной энергетике, в мелиорации и коммунальном хозяйстве, в химической, нефтедобывающей, нефтеперерабатывающей, газовой, автомобильной, судостроительной, авиационной, космической и других отраслях промышленности. Настоящий стандарт устанавливает основные технические требования к конструкции, изготовлению, стойкости к внешним воздействиям, методом контроля и испытаний, приемке и поставке материалов ТРГ | 
| Приложение №1: | Поправка к ГОСТ 34708-2021 | 
| Приложение №2: | Поправка к ГОСТ 34708-2021 | 
| Приложение №3: | Поправка к ГОСТ 34708-2021 | 
| Расположен в: | |

























































| Обозначение: | Поправка к ГОСТ 34708-2021 | 
| Дата введения: | 25.01.2022 | 

| Обозначение: | Поправка к ГОСТ 34708-2021 | 
| Дата введения: | 20.04.2022 | 

| Обозначение: | Поправка к ГОСТ 34708-2021 | 
| Дата введения: | 28.07.2023 | 
