| Обозначение: |  ГОСТ Р 59366-2021 |
| Статус: | действующий |
| Название рус.: | Единая энергетическая система и изолированно работающие энергосистемы. Релейная защита и автоматика. Система мониторинга переходных режимов. Концентраторы синхронизированных векторных данных. Нормы и требования |
| Название англ.: | United power system and isolated power systems. Relay protection and automation. Wide-area measurement system. Phasor data concentrator. Norms and requirements |
| Дата актуализации текста: | 01.01.2024 |
| Дата актуализации описания: | 01.01.2024 |
| Дата издания: | 26.04.2021 |
| Дата введения: | 01.05.2021 |
| Нормативные ссылки: | ГОСТ Р 55105; ГОСТ Р МЭК 60870-5-104; ГОСТ Р 59365; ГОСТ Р 70609 |
| Область применения: | Настоящий стандарт устанавливает: - основные функциональные требования к концентраторам синхронизированных векторных данных (далее – КСВД) при их применении в составе системы мониторинга переходных режимов энергосистемы; - требования к порядку и методике проведения испытаний КСВД в целях подтверждения их соответствия требованиям настоящего стандарта. Настоящий стандарт распространяется на системного оператора, субъектов оперативно-диспетчерского управления в электроэнергетике в технологически изолированных территориальных электроэнергетических системах, собственников и иных законных владельцев объектов электроэнергетики, организаций, осуществляющих деятельность по разработке, изготовлению, внедрению, наладке, эксплуатации КСВД, а также проектных и научно-исследовательских организаций |
| Приложение №1: | Изменение №1 к ГОСТ Р 59366-2021 |
|
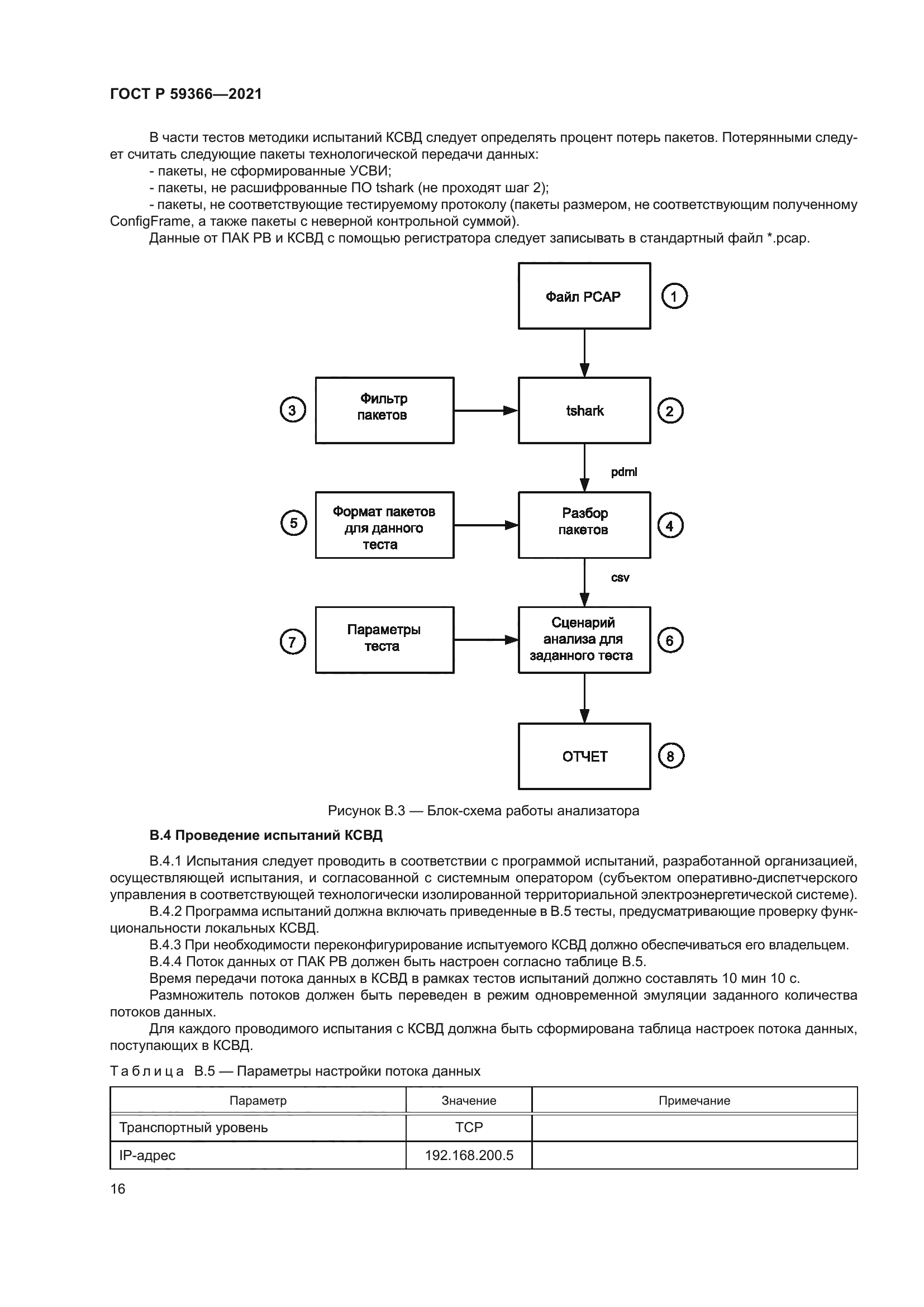
| Расположен в: |
|