| Обозначение: |  ГОСТ Р 59414-2021 |
| Статус: | действующий |
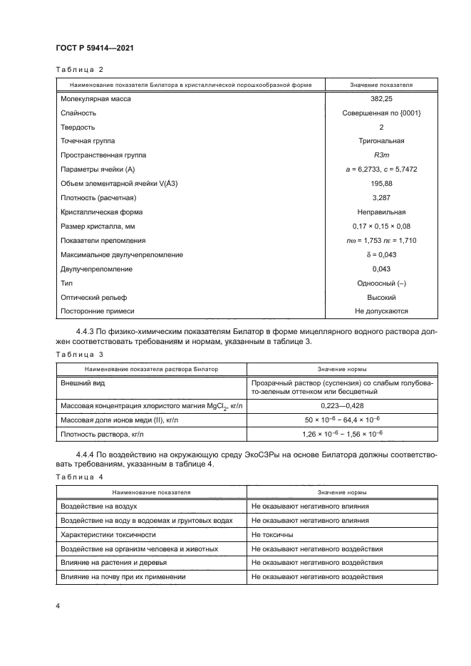
| Название рус.: | Экологические средства защиты растений на основе хлористого магниевомедного комплекса «Билатор». Общие технические условия |
| Название англ.: | Environmental protection of plants based on the chloride magnesium-copper complex «Bilator». General specifications |
| Дата актуализации текста: | 01.01.2022 |
| Дата актуализации описания: | 01.07.2023 |
| Дата издания: | 13.04.2021 |
| Дата введения: | 01.06.2021 |
| Нормативные ссылки: | ГОСТ 8.579; ГОСТ 12.0.004; ГОСТ 12.1.004; ГОСТ 12.1.005; ГОСТ 12.1.007; ГОСТ 12.1.008; ГОСТ 12.1.019; ГОСТ 12.1.044; ГОСТ 12.2.003; ГОСТ 12.4.009; ГОСТ 12.4.011; ГОСТ 12.4.021; ГОСТ 12.4.026; ГОСТ 12.4.121; ГОСТ 17.4.3.04; ГОСТ 1770; ГОСТ 6709; ГОСТ 10398; ГОСТ 13938.1; ГОСТ 14192; ГОСТ ИСО/МЭК 17025; ГОСТ 17811; ГОСТ 26663; ГОСТ 31382; ГОСТ 34264; ГОСТ Р 14.12; ГОСТ Р 55067; ГОСТ Р 52620; ГОСТ Р 58658; ГОСТ 58662 |
| Область применения: | Настоящий стандарт распространяется на действующее вещество хлористый магниевомедный комплекс «Билатор» (Билатор) и получаемые на его основе экологические средства защиты растений (Эко-СЗРы). Настоящий стандарт устанавливает общие требования к качеству и безопасности Билатора и Эко-СЗРов при их использовании в системе агропромышленного комплекса при выращивании сельскохозяйственных культур, в производстве пищевой продукции и продовольственного сырья с улучшенными экологическими характеристиками, при селекции декоративных растений и озеленении парковых и рекреационных зон в городах и населенных пунктах. Основная функция Эко-СЗРов – обеспечение защиты растений и продукции растениеводства от вредных организмов и болезней, повышение урожайности и качества сельскохозяйственной продукции без оказания негативного влияния на экологию и окружающую среду, здоровье человека и животных. Билатор также может использоваться в качестве адьюванта для пестицидов с целью улучшения их экологических характеристик |
|
| Расположен в: |
|