Информационная система
«Ёшкин Кот»

Скачать базу одним архивом
Скачать обновления
История создания базы
Карта сайта

Скачать ГОСТ Р 59167-2020 Информационные технологии. Стандарт информационных сервисов EPC (EPCIS)

Дата актуализации: 01.06.2025

ГОСТ Р 59167-2020

Информационные технологии. Стандарт информационных сервисов EPC (EPCIS)

Обозначение: ГОСТ Р 59167-2020
Статус:действующий
Название рус.:Информационные технологии. Стандарт информационных сервисов EPC (EPCIS)
Название англ.:EPC Information Services (EPCIS) Standard
Дата актуализации текста:01.01.2022
Дата актуализации описания:01.06.2022
Дата издания:19.01.2021
Дата введения:01.01.2022
Содержит требования:ISO/IEC 19987:2017
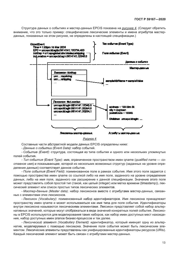
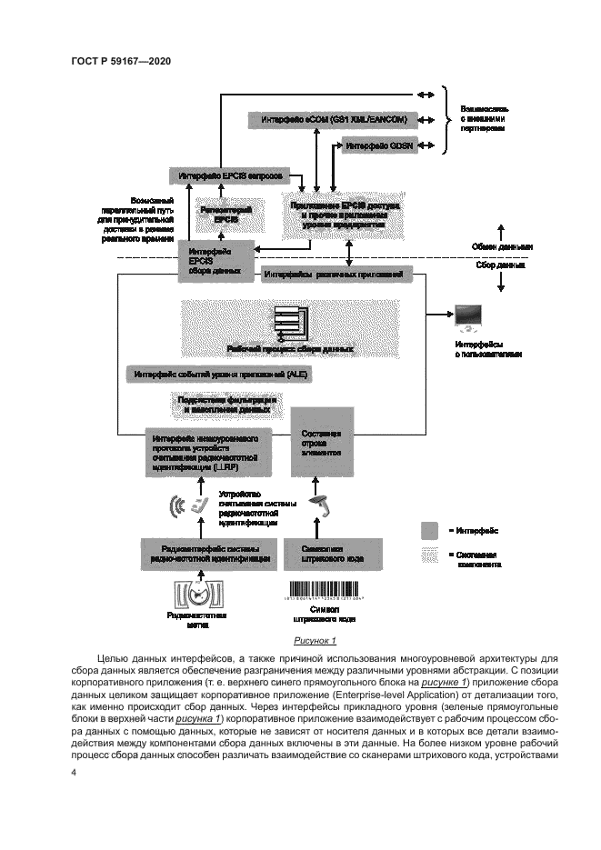
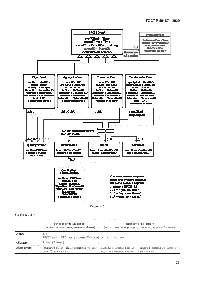
Область применения:Настоящий документ соответствует стандарту GS1 [2], который определяет версию 1.2 информационных сервисов EPC (EPC Information Services, EPCIS). Целью EPCIS является предоставление возможности различным приложениям создавать данные о событиях, обеспечивающих прозрачность, и обмениваться ими как внутри предприятий, так и между ними. В конечном счете, создание этого общего ресурса направлено на то, чтобы дать возможность пользователям получать общий доступ к физическим и цифровым объектам в рамках соответствующего контекста ведения хозяйственной деятельности
Расположен в:Государственные стандарты Общероссийский классификатор стандартов Информационные технологии. Машины конторские Интерфейсы и межсоединительные устройства
ГОСТ Р 59167-2020ГОСТ Р 59167-2020ГОСТ Р 59167-2020ГОСТ Р 59167-2020ГОСТ Р 59167-2020ГОСТ Р 59167-2020ГОСТ Р 59167-2020ГОСТ Р 59167-2020ГОСТ Р 59167-2020ГОСТ Р 59167-2020ГОСТ Р 59167-2020ГОСТ Р 59167-2020ГОСТ Р 59167-2020ГОСТ Р 59167-2020ГОСТ Р 59167-2020ГОСТ Р 59167-2020ГОСТ Р 59167-2020ГОСТ Р 59167-2020ГОСТ Р 59167-2020ГОСТ Р 59167-2020ГОСТ Р 59167-2020ГОСТ Р 59167-2020ГОСТ Р 59167-2020ГОСТ Р 59167-2020ГОСТ Р 59167-2020ГОСТ Р 59167-2020ГОСТ Р 59167-2020ГОСТ Р 59167-2020ГОСТ Р 59167-2020ГОСТ Р 59167-2020ГОСТ Р 59167-2020ГОСТ Р 59167-2020ГОСТ Р 59167-2020ГОСТ Р 59167-2020ГОСТ Р 59167-2020ГОСТ Р 59167-2020ГОСТ Р 59167-2020ГОСТ Р 59167-2020ГОСТ Р 59167-2020ГОСТ Р 59167-2020ГОСТ Р 59167-2020ГОСТ Р 59167-2020ГОСТ Р 59167-2020ГОСТ Р 59167-2020ГОСТ Р 59167-2020ГОСТ Р 59167-2020ГОСТ Р 59167-2020ГОСТ Р 59167-2020ГОСТ Р 59167-2020ГОСТ Р 59167-2020ГОСТ Р 59167-2020ГОСТ Р 59167-2020ГОСТ Р 59167-2020ГОСТ Р 59167-2020ГОСТ Р 59167-2020ГОСТ Р 59167-2020ГОСТ Р 59167-2020ГОСТ Р 59167-2020ГОСТ Р 59167-2020ГОСТ Р 59167-2020ГОСТ Р 59167-2020ГОСТ Р 59167-2020ГОСТ Р 59167-2020ГОСТ Р 59167-2020ГОСТ Р 59167-2020ГОСТ Р 59167-2020ГОСТ Р 59167-2020ГОСТ Р 59167-2020ГОСТ Р 59167-2020ГОСТ Р 59167-2020ГОСТ Р 59167-2020ГОСТ Р 59167-2020ГОСТ Р 59167-2020ГОСТ Р 59167-2020ГОСТ Р 59167-2020ГОСТ Р 59167-2020ГОСТ Р 59167-2020ГОСТ Р 59167-2020ГОСТ Р 59167-2020ГОСТ Р 59167-2020ГОСТ Р 59167-2020ГОСТ Р 59167-2020ГОСТ Р 59167-2020ГОСТ Р 59167-2020ГОСТ Р 59167-2020ГОСТ Р 59167-2020ГОСТ Р 59167-2020ГОСТ Р 59167-2020ГОСТ Р 59167-2020ГОСТ Р 59167-2020ГОСТ Р 59167-2020ГОСТ Р 59167-2020ГОСТ Р 59167-2020ГОСТ Р 59167-2020ГОСТ Р 59167-2020ГОСТ Р 59167-2020ГОСТ Р 59167-2020ГОСТ Р 59167-2020ГОСТ Р 59167-2020ГОСТ Р 59167-2020ГОСТ Р 59167-2020ГОСТ Р 59167-2020ГОСТ Р 59167-2020ГОСТ Р 59167-2020ГОСТ Р 59167-2020ГОСТ Р 59167-2020ГОСТ Р 59167-2020ГОСТ Р 59167-2020ГОСТ Р 59167-2020ГОСТ Р 59167-2020ГОСТ Р 59167-2020ГОСТ Р 59167-2020ГОСТ Р 59167-2020ГОСТ Р 59167-2020ГОСТ Р 59167-2020ГОСТ Р 59167-2020ГОСТ Р 59167-2020ГОСТ Р 59167-2020ГОСТ Р 59167-2020ГОСТ Р 59167-2020ГОСТ Р 59167-2020ГОСТ Р 59167-2020ГОСТ Р 59167-2020ГОСТ Р 59167-2020ГОСТ Р 59167-2020ГОСТ Р 59167-2020ГОСТ Р 59167-2020ГОСТ Р 59167-2020ГОСТ Р 59167-2020ГОСТ Р 59167-2020ГОСТ Р 59167-2020ГОСТ Р 59167-2020ГОСТ Р 59167-2020ГОСТ Р 59167-2020ГОСТ Р 59167-2020ГОСТ Р 59167-2020ГОСТ Р 59167-2020ГОСТ Р 59167-2020ГОСТ Р 59167-2020ГОСТ Р 59167-2020ГОСТ Р 59167-2020ГОСТ Р 59167-2020ГОСТ Р 59167-2020ГОСТ Р 59167-2020ГОСТ Р 59167-2020ГОСТ Р 59167-2020ГОСТ Р 59167-2020ГОСТ Р 59167-2020ГОСТ Р 59167-2020ГОСТ Р 59167-2020ГОСТ Р 59167-2020ГОСТ Р 59167-2020ГОСТ Р 59167-2020ГОСТ Р 59167-2020ГОСТ Р 59167-2020ГОСТ Р 59167-2020ГОСТ Р 59167-2020ГОСТ Р 59167-2020ГОСТ Р 59167-2020ГОСТ Р 59167-2020

© 2013 Ёшкин Кот :-) Карта сайта