| ||||||||||||||||||||||||||||
Скачать ГОСТ Р 59214-2020 Материалы отделочные для строительных конструкций из древесины. Общие технические условияДата актуализации: 01.06.2025
| ||||||||||||||||||||||||||||
| Обозначение: | ![]() ГОСТ Р 59214-2020 |
| Статус: | действующий |
| Название рус.: | Материалы отделочные для строительных конструкций из древесины. Общие технические условия |
| Название англ.: | Finishing materials for timber building constructions. General specifications |
| Дата актуализации текста: | 01.01.2022 |
| Дата актуализации описания: | 01.07.2023 |
| Дата издания: | 14.01.2021 |
| Дата введения: | 01.03.2021 |
| Нормативные ссылки: | ГОСТ 8.134; ГОСТ 8.135; ГОСТ 8.579; ГОСТ 9.050; ГОСТ 9.072; ГОСТ 9.401; ГОСТ 9.403-80; ГОСТ 9.407; ГОСТ 12.1.005; ГОСТ 12.1.007; ГОСТ 12.1.016; ГОСТ 12.3.002; ГОСТ 12.4.011; ГОСТ 12.4.021; ГОСТ 896; ГОСТ 4976-83; ГОСТ 5233; ГОСТ 6806; ГОСТ 8420; ГОСТ 8784; ГОСТ 8832; ГОСТ 9754-76; ГОСТ 9980.2; ГОСТ 9980.3; ГОСТ 9980.4; ГОСТ 9980.5; ГОСТ 14192; ГОСТ 16976; ГОСТ 19007; ГОСТ 19266; ГОСТ 19433; ГОСТ 20022.0; ГОСТ 20824-81; ГОСТ 21903; ГОСТ 24404; ГОСТ 24709-81; ГОСТ 25898; ГОСТ 27014; ГОСТ 27271; ГОСТ 27325; ГОСТ 28246; ГОСТ 29319; ГОСТ 30028.4; ГОСТ 30244; ГОСТ 30495; ГОСТ 31149; ГОСТ 31340; ГОСТ 31939; ГОСТ 31992.1-2012; ГОСТ 32389; ГОСТ 33289; ГОСТ 33290 ; ГОСТ 33352-2015; ГОСТ 33355-2015; ГОСТ Р 51057; ГОСТ Р 52020; ГОСТ Р 52165; ГОСТ Р 52753 |
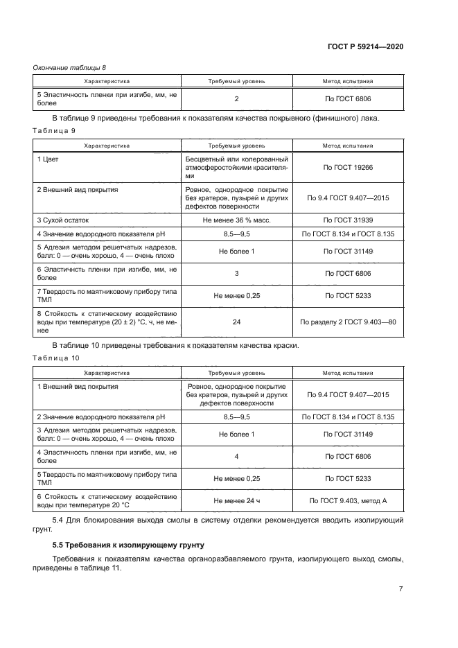
| Область применения: | Настоящий стандарт распространяется на отделочные материалы, основу которых составляют жидкие лакокрасочные материалы (ЛКМ) для защитно-декоративной отделки деревянных строительных конструкций, и устанавливает классификацию ЛКМ по типу разбавителя и химической природе связующего (пленкообразующего вещества), требуемые показатели качества лакокрасочных покрытий и методы их испытания в зависимости от условий эксплуатации деревянных строительных конструкций, а также выявляемые при отделке различные дефекты поверхности покрытий и способы их устранения |
| Расположен в: | |















